1
svar
177
visningar
Volym

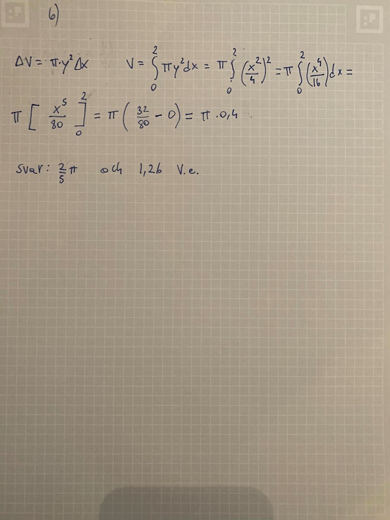
har jag räknat rätt?
Det ser helt rätt ut.
En gratistjänst från Mattecentrum

har jag räknat rätt?
Det ser helt rätt ut.