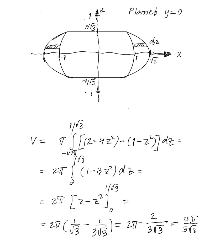
Volym av kroppen flervariabel

Först cylindriskt kordinatbyte och lösa ut värden på r. Men förstår inte hur jag ska koppla detta till z:as värden. Se nedan.


Man borde kunna börja med att skriva olikheterna som
1 - z2 <= x2 + y2 <= 2 - 4z2 så att
3z2 <= 1
Tack.

Se lösningsförslaget ifrån uppgiften. Svaren skiljer sig åt.
Men tycker att det gick lite för fort med integreringsgränserna.
Enligt lösningsförslaget så delas integralen i 2 stycken, vilket jag inte förstår varför. Men det kanske finns något enklare sätt att ställa upp integralen?
Ditt rätta svar är 0,81π. Min beräkning gav 0,77π.
Hoppas du ursäktar att jag vilselett dig. Problemets enkla beskriving men kluriga natur intresserade mig. Hoppas någon kan förklara var jag trampade fel.
Jan Ragnar skrev:Ditt rätta svar är 0,81π. Min beräkning gav 0,77π.
Hoppas du ursäktar att jag vilselett dig. Problemets enkla beskriving men kluriga natur intresserade mig. Hoppas någon kan förklara var jag trampade fel.
Inga problem, tack för ditt engagemang.
Både facits sätt och Jan Ragnars sätt fungerar. Det ska bli samma svar.
Edit. Facit har missat en konstant för den primitiva funktionen till sqrt(1-r^2) så facit stämmer inte.

