0
svar
136
visningar
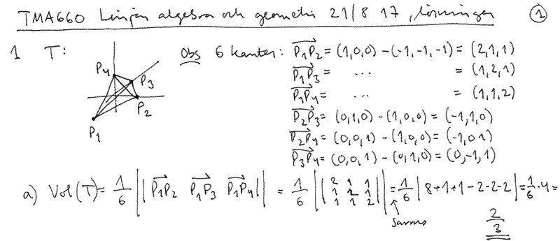
Volym av tetrahed


Hej, jag förstår inte vart 1/2 i ((1/3)*(1/2)) kommer från. Inte heller exakt vad som beräknas av determinanten ovan. Som jag förstår det generellt sätt är determinanten en skalningsfaktor, som beskriver hur arean förändrats efter en linjär avbildning (dom man jämför exempelvis i och j). Jav behöver alltså primärt hjälp med två frågor i denna uppgift: A) Hur alstras 1/6? B) Vad säger oss determinanten av tre vektorer, (fyra?)?