Volym vid rotation kring y-axeln.
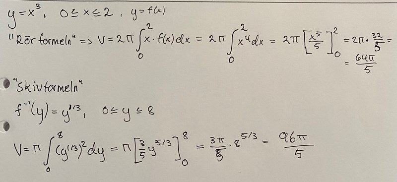
Hade behövt hjälp att förstå varför jag får olika svar. Enligt min lärobok ska ”rörformeln” fungera när f(x)>=0 då a<=x<=b, och att a>=0 (vilket uppfylls?). När jag beräknar med inversen av funktionen blir svaret rätt fast inte med rörformeln. Gör jag något fel i mina beräkningar eller missar jag något krav som inte uppfylls?
Har du börjat med att ritat upp hur rotationskroppen ser ut? Lägg upp bilden här. Det är mycket lättare att hitta integrationsgränserna om man har en bild.
Vilket område ska roteras, är det området under eller över kurvan?

I skivberäkningen låter du y gå från 0 till 8, och låter x-koordinater på kurvan beskriva radien på cirkelskivorna. Det ger dig volymen av att rotera det övre området.
I din rörberäkning låter du x gå från 0 till 2, och låter y-koordinater på kurvan beskriva höjden på rören. Detta beräknar volymen av att rotera det undre området.
Men du kan använda rörformeln för att beräkna den övre volymen också. Då är höjden på dina rör istället 8-f(x), så att rören går från kurvan upp till y=8.
Skaft skrev:Vilket område ska roteras, är det området under eller över kurvan?
I skivberäkningen låter du y gå från 0 till 8, och låter x-koordinater på kurvan beskriva radien på cirkelskivorna. Det ger dig volymen av att rotera det övre området.
I din rörberäkning låter du x gå från 0 till 2, och låter y-koordinater på kurvan beskriva höjden på rören. Detta beräknar volymen av att rotera det undre området.
Men du kan använda rörformeln för att beräkna den övre volymen också. Då är höjden på dina rör istället 8-f(x), så att rören går från kurvan upp till y=8.
Tack nu blev det rätt! Det är ingen anmärkning jag har tänkt på, men funderat på, då alla exempel har varit på funktioner där det automatiskt blir det övre området.