Volymen av en elips roterat runt x-axeln.
Hejsan! Jag har lite problem med följande-uppgift:

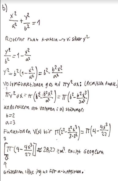
Jag lyckas inte få kontrollen i b)-uppgiften att stämma med facit, som säger 50,3 v.e. (tycker det är konstigt att de anger i v.e. också, eftersom man ger måtten i cm?)
Här är min lösning för b-uppgiften:
Om ni frågar "det står att du löste ut gränserna i a)-uppgiften, hur gjorde du det?" så satte jag in a och b i det utlösta y^2. Se följande Geogebra-länk: https://www.geogebra.org/calculator/eu6rwmqg
Tacksam för svar!
Utan att ha gått in i din lösning i detalj så ser det ut som om du gjort fel på primitiva funktionen, det saknas ett x på b2 termen.
Dessutom är det en massa formella fel i din lösning, det saknas integraltecken, saknas dx, du sätter likhetstecken mellan saker som inte är lika osv
Enklast integrerar man väl över halva elipsen dvs från 0 till a och multiplicerar sen med 2 för att få hela volymen
Ture skrev:Utan att ha gått in i din lösning i detalj så ser det ut som om du gjort fel på primitiva funktionen, det saknas ett x på b2 termen.
Tack så mycket! Det stämmer. Jag testade nu och fick rätt svar.
Sorry för dålig lösning också. Jag försökte skriva rent en plottrig A4-sida med min originella lösning och inser när jag kollar på det igen att det inte blev matematiskt korrekt. Ska bättra mig!