2
svar
60
visningar
Vektorer
Hej! Har fastnat på denna uppgiften och skulle därför behöva hjälp :)

Vektorer är ofta lättare att hantera om man skriver dem på höjden (på kolonnform).
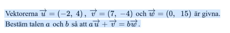
I översta raden får du –2a + 7 = 0
I understa raden 4a – 4 = 15b
Tack för svaret! Nu vet jag hur jag ska gå vidare med uppgiften.