Weighted least squares


Borde inte rätt svar vara a i det här fallet? I facit står det nämligen att rätt svar skall vara c.
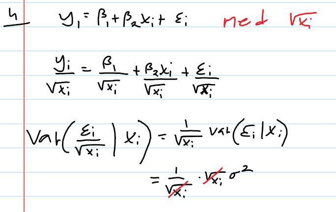
Om variansen är proportionell mot så är svaret A, men nu var ju variansen proportionell mot .
Sedan visar du att du inte känner till räkneregler för variansberäkning när du flyttar ut konstanten utan att kvadrera den, något som är högst väsentligt i sammanhanget.
Albiki skrev:Sedan visar du att du inte känner till räkneregler för variansberäkning när du flyttar ut konstanten utan att kvadrera den, något som är högst väsentligt i sammanhanget.
Ah.. My bad! Såg nu att jag hade missat det men fick ihop det nu. Tack för hjälpen :D Men hur ska man veta vilket svar som är det rätta? Ska man direkt på något sätt kunna se att det är c som är det rätta svaret eller skall man testa alla olika möjliga svarsalternativ?