0
svar
101
visningar
Weighted least squares


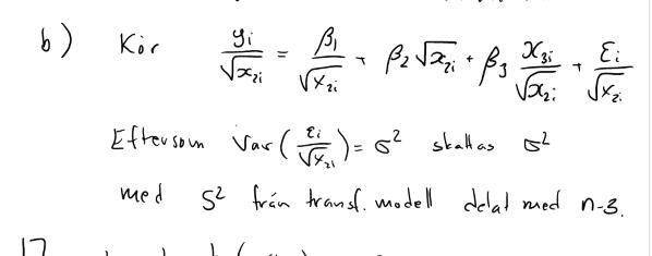
Jag förstår varför man skall dela med roten ur(x2i) dock förstår jag inte vad som menas med att "Eftersom Var (ei/roten ur(x2i)) = sigma^2 skattas sigma^2 med S^2 från transf. modell delat med n-3".