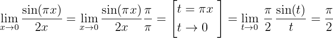
x->0 för Lim
Hej bifogar bild för enklast förklaring. Suttit mycket länge och kommer inte fram till nått.
får inte derivera enligt läraren (L´ hopital lag) 
Vi vet att [sin (ax)] / (ax) går mot 1 när x går mot 0.
Så vi börjar med ”inre funktionen”:
(sin(pi x)) / (2x) = (pi/2) (sin (pi x)) / (pi x) går mot pi/2
Så hela uttrycket går mot sin (pi/2) när x går mot 0. Gränsvärdet är 1
Kan man plocka bort Pi ur sinus och ställa utanför? Trodde den var låst. 2x är ju fri enligt min uppfattning men då pi är en funktion av sin så trodde jag inte man kunde detta :/
Jag vet att sinx / x för lim går mot 1, men att man kunde sätta en annan variabel framför var oklart, i ditt fall säger du att sinax / ax är samma sak. bra att veta!
Men återigen. Det som förundrar mig mest är att du kan plocka bort pi ur sinus och ställa utanför
Fatta faktiskt ingenting tyvärr
När du har skrivit om nämnaren: kalla för t. Kommer du vidare?
Du har alldeles rätt, vi ska inte försöka få loss pi ur sinus. Vad vi gör är att ändra nämnaren till (pi x).
Då bryter vi ut 2 ur nämnaren och får 1/2 framför bråket.
Sedan multiplicerar vi bråket med pi / pi.
pi:et i nämnaren stoppar vi in under sinuset, så står det pi/2 framför och sin (pi x) delat med
(pi x) i bråket.
Rörigt att förklara i text, hoppas du är med.
Annat ex:
sin (Ax) / x = (A/A) sin(Ax)/x = A sin(Ax)/(Ax) går mot A*1
Det ska egentligen stå x --> 0 fick hjärnsläpp..
Mogens skrev:

Nej, sin(A * B) är inte sinA * sinB
Förlåt nu ser jag vad du skrivit.
sin (A*B) = sinA * sin(sinB)
Det är inte korrekt.
Och sin(1) är absolut inte pi/2.
Sin(1) är inte pi/2 juste, det är arcsin som ger detta värdet. Så motsatsen blir att sin(pi/2) ger 1..
vad är korrekt då? För vi har ju lyckats få pi/2 som är multiplicerat med sint /t , vilket är 1 ?
blir det sin (pi/2 * sin t/t) då t går mot noll —-> sin (pi/2 * 1) ?? Då blir de sin(pi/2) = 1 ? Men de är ju inte svaret vi söker. Vi söker väl pi/2
Svaret jag får fram är sin(pi/2) dvs 1
Du har rätt! Blanda ihop.
men var de korrekt nu som jag skrev sist ? Skulle de vara en godkänd metod ? Med vänlig hälsning,
Metoden ser ok ut. Men du skrev litet snabbt och visade bara tankegången, jag tycker min lösning är formellt litet prydligare.
Jag tycker inte det är nödvändigt att ersätta pi x med t, det är mer vad man gör som lärare för att förklara. Men någon rättare kanske tycker man ska det?
Mogens skrev:...
Jag tycker inte det är nödvändigt att ersätta pi x med t, det är mer vad man gör som lärare för att förklara. Men någon rättare kanske tycker man ska det?
Nödvändigt är det inte, men det verkade som att det underlättade för TS att förså vad det är vi försöker göra.
Detta kommer kanske inte låta bra men helt ärligt så är det vissa moment inom matematiken som jag personligen bara vill ta mig igenom och inget mer. Jag har naturligtvis ingen spåkula för framtiden men om jag få möjligheten att sätta alla pengar på att gränsvärden inte skulle vara en nödvändig del av mitt framtida yrke så skulle jag sätta varenda krona. Jag läser till byggingenjör ja visst finns det säkerligen användning någonstans men inte dit jag vill ta mig.
Men jag är väldigt tacksam till er som tar sig tiden att hjälp mig här! Det uppskattas trots allt väldigt mycket. Med vänlig hälsning, Philip
Du skall försöka beräkna gränsvärdet för funktionen , när x går mot 0. Förhoppningsvis har du fått lära dig att funktionen sin(x)/x går mot 1 när x går mot 0. Kan vi göra om det som står inuti parentesen så att vi kan använda det gränsvärdet? Ja, om vi kan göra om uttrycket i parentesen till sin(kx)/kx så vet vi att kvoten går mot 1 när x går mot 0. I vårt fall är i täljaren, så vi vill fixa till nämnaren så att det står i nämnaren också. Det gör vi genom att skriva om 2 till , så parentesen går mot . Kommer du vidare härifrån?
Smaragdalena skrev:Mogens skrev:...
Jag tycker inte det är nödvändigt att ersätta pi x med t, det är mer vad man gör som lärare för att förklara. Men någon rättare kanske tycker man ska det?
Nödvändigt är det inte, men det verkade som att det underlättade för TS att förså vad det är vi försöker göra.
Ja, det var det jag menade. Ett bra sätt för läraren att förklara för eleven. Däremot umbärligt att redovisa på prov.
philipk skrev:Detta kommer kanske inte låta bra men helt ärligt så är det vissa moment inom matematiken som jag personligen bara vill ta mig igenom och inget mer. Jag har naturligtvis ingen spåkula för framtiden men om jag få möjligheten att sätta alla pengar på att gränsvärden inte skulle vara en nödvändig del av mitt framtida yrke så skulle jag sätta varenda krona. Jag läser till byggingenjör ja visst finns det säkerligen användning någonstans men inte dit jag vill ta mig.
Men jag är väldigt tacksam till er som tar sig tiden att hjälp mig här! Det uppskattas trots allt väldigt mycket. Med vänlig hälsning, Philip
Du försöker hinta att du inte älskar gränsvärden. Det är lugnt, det behövs sådana som du också i en komplex värld.
Smaragdalena skrev:Du skall försöka beräkna gränsvärdet för funktionen , när x går mot 0. Förhoppningsvis har du fått lära dig att funktionen sin(x)/x går mot 1 när x går mot 0. Kan vi göra om det som står inuti parentesen så att vi kan använda det gränsvärdet? Ja, om vi kan göra om uttrycket i parentesen till sin(kx)/kx så vet vi att kvoten går mot 1 när x går mot 0. I vårt fall är i täljaren, så vi vill fixa till nämnaren så att det står i nämnaren också. Det gör vi genom att skriva om 2 till , så parentesen går mot . Kommer du vidare härifrån?
Proffsig förklaring! Wow 🤩 gränsvärden har gett mig självmord tankar. Det finns så många varianter. Det känns så så svårt. Det är såklart för att jag under greppet grunderna. Det är väldigt frustrerande. Men denna förklaring var riktig bra! Tack tack
Mogens skrev:philipk skrev:Detta kommer kanske inte låta bra men helt ärligt så är det vissa moment inom matematiken som jag personligen bara vill ta mig igenom och inget mer. Jag har naturligtvis ingen spåkula för framtiden men om jag få möjligheten att sätta alla pengar på att gränsvärden inte skulle vara en nödvändig del av mitt framtida yrke så skulle jag sätta varenda krona. Jag läser till byggingenjör ja visst finns det säkerligen användning någonstans men inte dit jag vill ta mig.
Men jag är väldigt tacksam till er som tar sig tiden att hjälp mig här! Det uppskattas trots allt väldigt mycket. Med vänlig hälsning, PhilipDu försöker hinta att du inte älskar gränsvärden. Det är lugnt, det behövs sådana som du också i en komplex värld.
Jag älskar det inte för att jag har jätte svårt att förstå, jag fattar att jag har missat grunderna. Boken är inte direkt pedagogisk. Jag är grym på enhetscirkeln exempelvis, vet exakt vad jag ska göra för att få allt att hamna mellan 0 till pi/2 där jag kan alla värden. Då är det kul, och jag brukar vara tålmodig till ny lärdom men gränsvärden nej fy usch. :(
är inte en funktion, det är ett tal.
Laguna skrev:är inte en funktion, det är ett tal.
Okej 👌 men ett tal inom sin (x) dvs sin (ax)
där a = pi. Men det var en super dag att jag fick lära mig att man om man får ax i täljaren dvs sin (ax) och ax i nämnaren så kan man göra om de till t . Vilket hjälper i detta fall
Tack så mycket, din förklaring är spot on nu när jag verkligen förstår lösningen!! :)
Mogens skrev:Du har alldeles rätt, vi ska inte försöka få loss pi ur sinus. Vad vi gör är att ändra nämnaren till (pi x).
Då bryter vi ut 2 ur nämnaren och får 1/2 framför bråket.
Sedan multiplicerar vi bråket med pi / pi.
pi:et i nämnaren stoppar vi in under sinuset, så står det pi/2 framför och sin (pi x) delat med
(pi x) i bråket.
Rörigt att förklara i text, hoppas du är med.
Annat ex:
sin (Ax) / x = (A/A) sin(Ax)/x = A sin(Ax)/(Ax) går mot A*1


.gif?width=800&upscale=false)