2
svar
139
visningar
XYZ

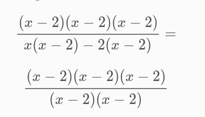
I en förklaring till en uppgift visas det här steget, hur försvinner x och -2 i nämnaren bara sådär?
ab - 2b = (a-2)b.
De bryter ut den gemensamma faktorn i båda termer, vilket i detta fall är . :)