1
svar
62
visningar
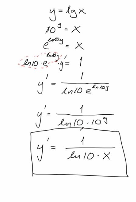
y=lgx

Hej!
Jag förstår inte vad som hände i rad 4, alltså hur man deriverade där.
Jag vet att derivatan av e^kx är k*e^x, vad står y´ för där?
Den formeln är missvisande eftersom man använder kedjeregeln i smyg.
Hur kyder kedjereglen?
Använd det för att derivera så kommer det nog klicka.
Sen är det bara reflektera tillbaka till din riktiga uppgift.