1
svar
176
visningar
blygummi behöver inte mer hjälp
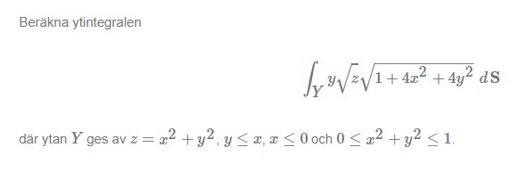
Ytintegral


Ignorera allt förutom min bild längst ner till vänster.
http://tutorial.math.lamar.edu/Classes/CalcIII/SurfaceIntegrals.aspx
Använt mig av detta. Får ett imaginärt svar.

Försökt på flera andra vis i två dagar. All hjälp är otroligt mycket uppskattad!
Tack på förhand!
Det är lite svårt att se om du ska beräkna eller . Men uppgiften verkar tillrättalagd för den förstnämnda.
Om du har parametriseringen:
Blir den normal som skall ingå i ytintegralerna särskilt enkel, nämligen
Du har redan kommit fram till att
Vad ger det för normal? Och vad betyder det att du ska sätta in istället för ovan?
Ledtråd: Den parametriserade integralen ges av: