Ytintegral: En parametriserad yta i R^3
Hej,
Skulle vilja bolla lite med någon angående nedanstående uppgift.
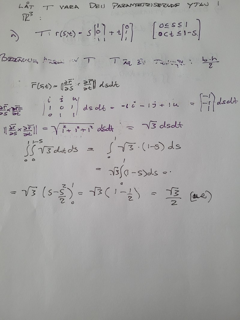
Jag har löst a) och fick fram sqrt(3)/2 a.e. - Se bilaga 1
Det som blir oklart är hur jag ska behandla nästkommande uppgift b)
Vilket blir den väg som är enklast?
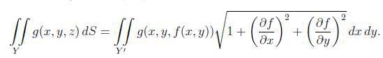
Fortsätta lösa det genom parametriserad yta eller köra på som en funktionsyta?
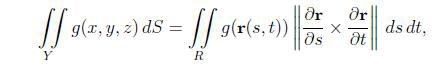
Parametring (s,t):
Funktionsyta f(x,y,z)
Oavsett vilken jag väljer här fastnar jag i tankeloopar. Då jag är vilsen med hur jag ska behandla z, då jag inte(?) har en z-funktion? Hade z:a varit ex z=3x eller något sådant blir det något annat, men e^(x+y+z) ?
Önskar vägledning om hur jag ska behandla uppgiften.
Är tacksam för all möjlig ledning.
Mvh
Skäggfluff
(Bilaga 1)
Med parametriseringen som är given i problemet kan du uttrycka alla koordinater, x, y och z, i termer av parametrarna s och t. Så du får en dubbelintegral i s-t-planet.
PATENTERAMERA skrev:Med parametriseringen som är given i problemet kan du uttrycka alla koordinater, x, y och z, i termer av parametrarna s och t. Så du får en dubbelintegral i s-t-planet.
Tack för din post Patenteramera,
Jag har tittat på det och uttryckt z=g(s,t) -> e^(s+t+g(s,t)) men är inte så "bekväm" att komma så mycket längre än så, då jag upplever att jag inte hänger med hur man skulle lösa andra gradarn uttryckt i s,t i detta fall. Hur skulle en sådan uppställning av andra gradaren se ut?
Parmetrisering säger
+ , vilket betyder
x = s
y = t
z = s + t
ex+y+z = e2(s+t).
PATENTERAMERA skrev:Parmetrisering säger
+ , vilket betyder
x = s
y = t
z = s + t
ex+y+z = e2(s+t).
Tack för din post,
Får nog backa lite och repetera parametrisering. Det sitter inte tillräckligt bra för mig, men följer med dina tankegångar och du ger mig en grund att jobba ifrån. Jag kör på här ifrån.
Tack!
Skäggfluff