0
svar
164
visningar
Ytintegral och ytarea, Flervarre


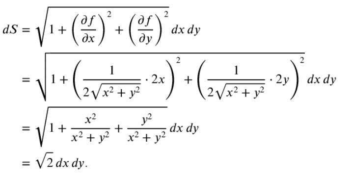
Detta bör stämma va?
En gratistjänst från Mattecentrum


Detta bör stämma va?