Ytintegral - omvandling till polära koordinater?
Hej!
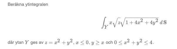
Har stött på lite problem med följande uppgift:

Jag har gjort såhär:

Men är lite osäker på om jag tänkt fel längs vägen. Integralen med cos ger ju sin som primitiv, och jag får svaret noll vilket inte stämmer. Jag tänker att anledningen kanske är symmetri (?), men är som sagt osäker över om jag har gjort rätt med resten av uppgiften också!
Hej!
Läser också flervarre atm. Jag gjorde på ett annat sätt men fick fram exakt samma integrand så det känns ju bra. Även att , däremot tänker jag att kanske är något annat.
Det intervall jag efter lite hjälp av Geogebra tänker att det är gav mig i och för sig ett väldigt fult svar, skulle du kunna kolla om detta är rätt svar? https://prnt.sc/10hdjfv I så fall kan jag förklara hur jag tänker
Står det dS eller dS i integralen?
PATENTERAMERA skrev:Står det dS eller dS i integralen?
Ser ut som dS. Ytintegraler som denna (till skillnad från flödesintegraler) brukar väl vara dS och ingen skalärprodukt, däremot antar jag att det är felskrivning att det bara är 1 integral istället för 2?
OK. Men rita upp det område i x-y-planet som ni skall integrera över innan ni övergår till polära. Det verkar inte som om skall gå från 0 till 2.
Tack, jag måste varit rejält trött igår, ritade upp området men glömde att kolla gränser ordentligt... Tack så mycket för hjälpen!