1
svar
184
visningar
ytintegraler
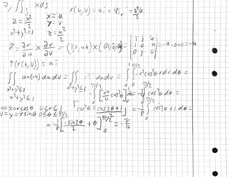
Find
Över den del av den paraboliska cylindern
i första oktanten av cylindern
Jag har gjort så här.
Där r(u,v) är en parametrisering av den paraboliska cylindern och n är normalvektorn.

Jag får svaret -pi/16 när facit säger pi/8. Är det någon som kan se vad jag har gjort för fel? Återkommer gärna med mer info om behövligt
Din kryssprodukt blir fel. Det skall egentligen vara:
Absolutbeloppet av normalen (detta är det du skall multiplicera in i integralen, det gäller ju att ) blir då:
Den resulterande integralen blir lösbar, men inte särskilt rolig. Det är möjligt att det finns någon genväg, men jag kan inte se någon för tillfället.