Ytintegraler
Hej. Till uppgiften nedan så undrar jag hur man ser att man ska använda sig av formeln för en ytintegral? Nu läser jag det kapitlet så därför förstår jag att det handlar om en ytintegral, men hur ska man tänka annars? Sen undrar jag också hur jag ska tänka vid framtagning av integranden, som verkar vara x2+y2, här är jag helt lost.
Tack

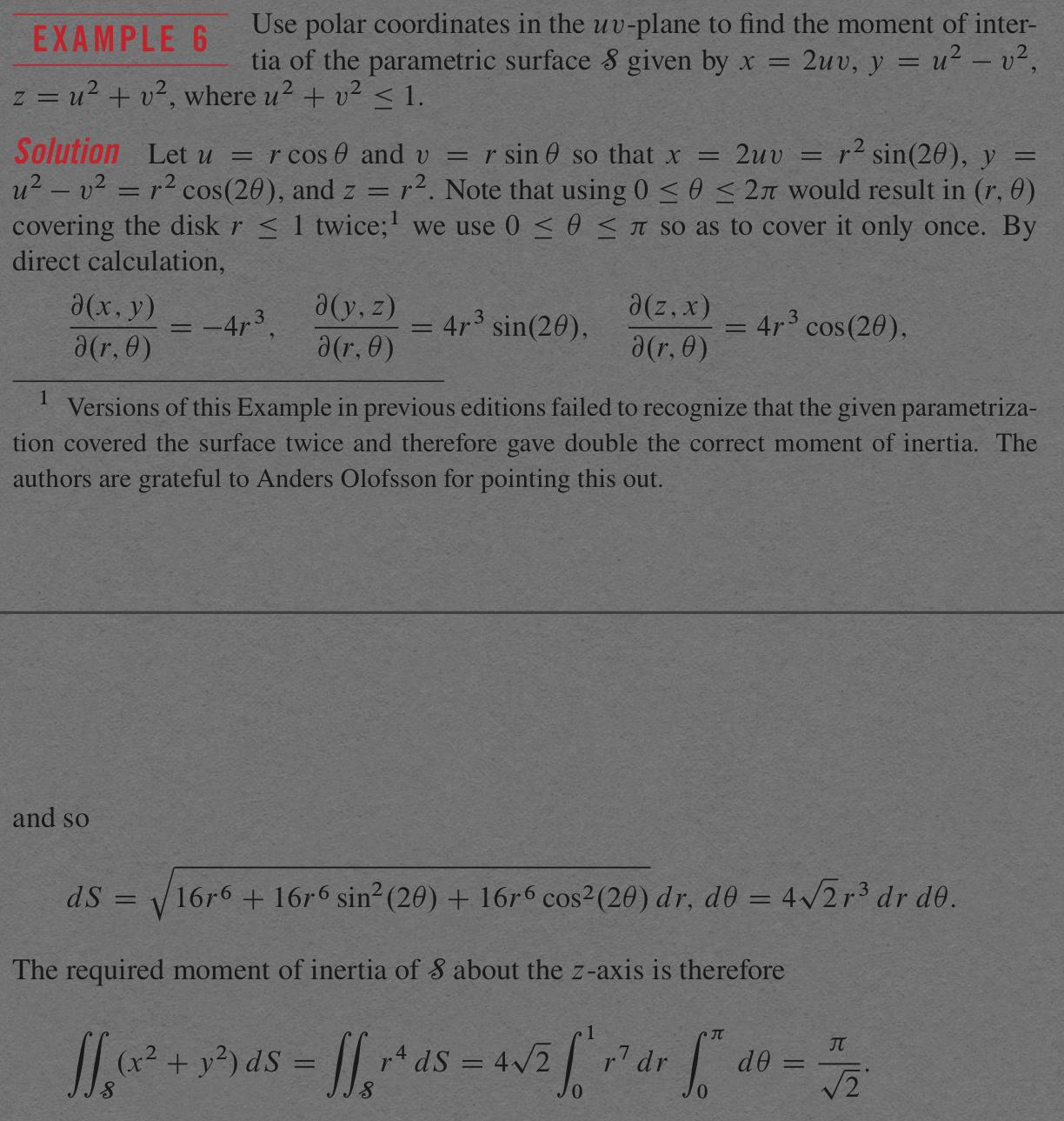
Hej, det står i uppgiften att vi ska bestämma tröghetsmomentet på en given ytan S. Därmed vill integrera detta tröghetsmoment (given av x^2+y^2) över hela denna ytan S.
Integranden antar jag att du förväntas ta fram själv, då du fått givet att det är ett tröghetsmoment det handlar om. Men visst kan jag tycka att det är lite märkligt då det är en matteuppgift och inte mekanik. På en tenta skulle jag med allra största sannolikhet tro att du får ett sådant uttryck givet.
Calle_K skrev:Hej, det står i uppgiften att vi ska bestämma tröghetsmomentet på en given ytan S. Därmed vill integrera detta tröghetsmoment (given av x^2+y^2) över hela denna ytan S.
Integranden antar jag att du förväntas ta fram själv, då du fått givet att det är ett tröghetsmoment det handlar om. Men visst kan jag tycka att det är lite märkligt då det är en matteuppgift och inte mekanik. På en tenta skulle jag med allra största sannolikhet tro att du får ett sådant uttryck givet.
Skönt o höra, tack!
Calle_K skrev:Hej, det står i uppgiften att vi ska bestämma tröghetsmomentet på en given ytan S. Därmed vill integrera detta tröghetsmoment (given av x^2+y^2) över hela denna ytan S.
Integranden antar jag att du förväntas ta fram själv, då du fått givet att det är ett tröghetsmoment det handlar om. Men visst kan jag tycka att det är lite märkligt då det är en matteuppgift och inte mekanik. På en tenta skulle jag med allra största sannolikhet tro att du får ett sådant uttryck givet.
Jag försökte lösa dS genom att ta längden av multiplicerat med men är lite osäker om jag ska ha med r? Dvs ska jag kanske istället multiplicera med ? Tar jag med rdrdtheta får jag en integral över r6 istället för r7. Mitt lösningsförslag
