Ytspänning, droppar
Jag har haft en labb om ytspänning och droppar. Försöker få ihop teorin men har lite problem.
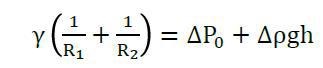
Tryckskillnaden över en droppe ( P(insida) - P(utsida) ) ges allmänt enligt vänstra halvan av ekvationen nedan: 
eller för sfäriska droppar
Delta P = (2*gamma(ytspänningen) ) / 2
Ju högre tryckskillnad ju... vad?
Alltså vad innebär detta och varför?
(instabilare system? bara att tryckskillnaden är högre och inget specifikt mer än det?)
Jag tänker att tryckskillnad är som en kraft som motsätter sig att radien minskar - så ju högre tryckskillnad det skulle vara för en viss droppe att existera ju mindre sannolikhet är det att den kommer bildas. Mao - om jag skulle fortsätta på meningen som "står och hänger" i vår labbrapport:
"And the higher the pressure difference over a drop the more opposing force is there for it to be made/exist and the more energy it takes for it to get to that radius."
Är det rätt? (på en grundläggande nivå)