2 svar
145 visningar
M (a) * x behöver inte mer hjälp
M (a) * x 322
Postad: 11 okt 2025 13:02

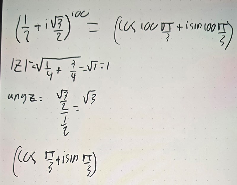
Z^100

 hur det kommer bäst att tänka, om man har ett så stort tal.

Trinity2 Online 4208
Postad: 11 okt 2025 13:09 Redigerad: 11 okt 2025 13:11

1/2+rot(3)/2 i representeras av en vektor med 60 grader. 

Upphöjt i 100 är det en vridning 100 ggr av denna vektor. 

6 vridningar och du är tillbaka. 100/6 = 16 varv + 2/3 varv 

2/3 varv är 240 grader eller -120 grader från utgångsläget.

Den är lätt att rita upp och räkna ut. Notera att absolutbeloppet upphöjs i 100.

Peter Online 1205
Postad: 11 okt 2025 19:14 Redigerad: 11 okt 2025 19:16

Gör om 12+i32\frac{1}{2}+i\frac{\sqrt{3}}{2} till polär form och använd potenslagarna. 

Svara
Close