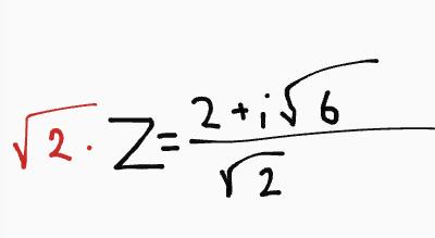
z = 2+ i roten ur 6 / roten ur två
Hur ska jag lösa sådant uppgifter?
Alltså matten, matten är svår. Behöver hjälp med att förstå hur jag ska tänka och göra.
Som de flesta här på PA vet, jag studerar distans, allt står på mina egna erfarenheter.
Jag har prov snart och vet ej hur jag ska ta vägen, kan inget, ärligt talat inget.
Hjälp mig snälla.

Tips: Om så är
Börja med att förlänga med
Problemet Yngve är att ändå om du gav mig tips eller inte, jag Noor vet inte hur jag ska lösa uppgiften.
T.ex du säger "börja med att förlänga z med roten ur 2", hur ska jag göra det? Jag har aldrig löst sådant uppgifter, och har aldrig fått lära mig det.
Därför är poängen med mitt tråd är att visa mig steg för steg hur jag ska lösa sådant uppgifter, så att jag sedan i framtiden eller vid ett provtillfälle veta hur jag ska lösa det.
Hoppas du förstår hur jag menar.
Vet du vad förlänga är, dvs hur man förlänger ett bråk?
Läs annars här och fråga sedan oss om allt du vill att vi förklarar närmare
Ex.
Att förlänga ett bråk innebär att multiplicera både täljare och nämnare med samma sak.
Pröva nu att förlänga med .
Visa dina försök.
#1
#2

Nått av de borde stämma eller har jag fel?
Jag förstår inte riktigt vad du gör.
Här är ett par exempel på vad förlänga är:
- Att förlänga bråket med innebär att du multiplicerar både täljare och nämnare med . Det nya bråket blir då
- Att förlänga bråket med innebär att du multiplicerar både täljare och nämnare med . Det nya bråket blir då
- Att förlänga bråket med innebär att du multiplicerar både täljare och nämnare med . Det nya bråket blir då
Nu vill jag att du förlänger bråket med .
Bra. Jag har i bilden ritat in de parenteser du glömde att skriva:

Fortsätt nu med att multiplicera in I parentesen i täljaren och att multiplicera ihop faktorerna i nämnaren.
Försök sedan att förenkla så långt det går.
Jag vet inte vad jag gjorde men fick fram att...

:)
Du bör inte avrunda förrän du kommit fram till ett exakt slutsvar.
Här ska du inte avrunda alls. Se svarsalternativen i texten!
Täljaren blir.
Kolla [långamt!] att du i detalj kan följa dessa omskrivningar.
Nämnaren blir. 2. .
Vad blir då talet. (exakt!) ?
Jag förstod inte vad du gjorde :)
En fråga, vad menas med i? Och hur löser man uppgifter med i?
N00R skrev:[...]
En fråga, vad menas med i? Och hur löser man uppgifter med i?
Läs om komplexa tal här. Fråga sedan oss om allt du vill att vi förklarar närmare.
