3
svar
165
visningar
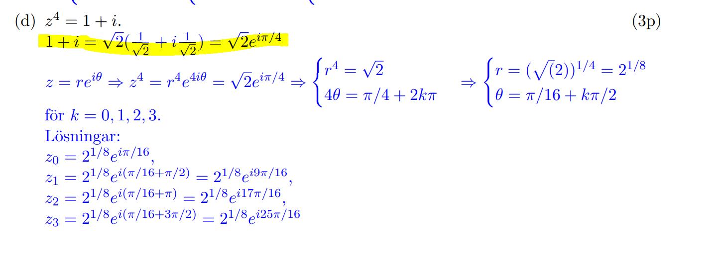
z^4=1+i


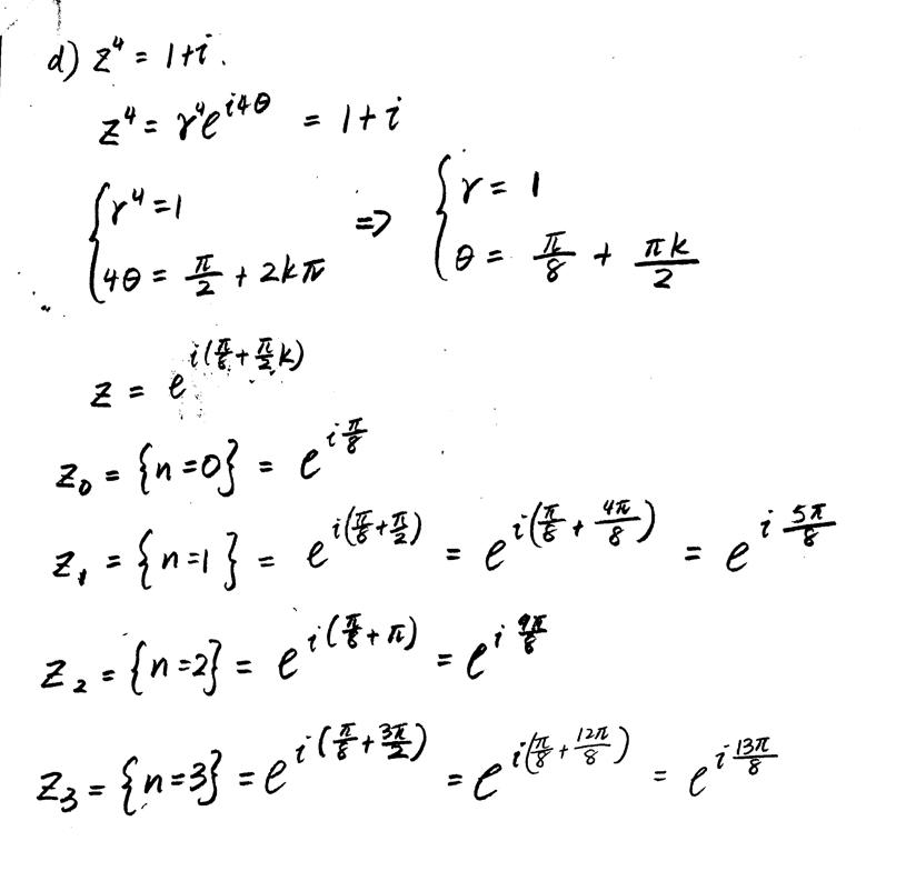
Varför måste man skriva om 1+i, kan man inte göra så här istället:

Jo, du kan göra så, men det är ett par saker som inte stämmer:
- r4 ska vara lika med Abs(1+i), dvs |1+i|, och det är lika med , inte 1.
- 4 ska vara lika med Arg(1+i), och det är lika med , inte .
Det är enkelt att se vad argumentet blir för nåt när det är standardvinkel såsom 45, 30, 60. Men vad händer om ja har z=4+5i eller z=7+8i, vad behöver ja göra då för att kunna ta fram vinkel mellan Readelen och imaginärdelen?
Då får man vinkeln som arctan(5/4) som man sen får släpa med i alla beräkningar.
(om man nöjer sig med ett närmevärde kan man givetvis slå det på räknaren, men det brukar inte vara fallet)