Z-transform och överföringsfunktion
Hej jag sitter och jobbar med en uppgift som jag försöker lösa med z-transform
jag har fått en in signal:
där u(n) är enhetssteget
samt ett impulssvar:
Från dessa ska jag ta fram systemets utsignal och jämföra med plottar och avgöra vilken som stämmer med utsignalen. Plottarna:

Jag börjar med att göra z-transform på x(n):
och sedan på h(n):
Sen använder jag mig av att Y(z)=H(z)X(z):
Här tar det stopp. Utifrån plottarna så ser det ut att röra sig om något sin/cos uttryck som avtar med stigande n.
Tanken var att transformera tillbaka och jämföra.
All hjälp uppskattas.
M.V.H.
Aedrha
Edit: Ändrade lite teckenfel
Du har skrivit fel exponent i nämnaren i H och Y. Det ska vara -2 på sista termen.
Jag är ute på hal is här, men metoden brukar vara att förenkla uttrycket tills man hittar en känd transform. En förenkling du kan göra här är att faktorisera nämnaren. Om du lyckas med det så har du en produkt av två enkla transformer och det borde hjälpa.
Ja precis! Det var min tanke, men jag lyckas inte faktorisera nämnaren. Inte till något reelvärt iallafall. Så hittar ingen känd transform som hjälper!
Edit: Ändrade exponenten till -2
Vi kanske kan använda transform-reglerna. Om du multiplicerar Y(z) med a*z^-1*sin(w0) så får du transformen för en sinus-funktion, eller hur? Då måste du kompensera genom att dividera Y(z) med motsvarande uttryck, eller multiplicera med inversen. Då får du en känd transform (sinus-funktion) multiplicerad med en konstant och z. Eftersom transformen är linjär så kan du multiplicera in konstanten och att multiplicera transformen med z motsvarar en tidsförskjutning.
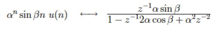
Jag har en regel i min formelsamling som ser ut så här:
Jag testade att förlänga så som du förslog:
Härifrån får jag inte ihop det, p.g.a. nämnare. Täljaren är ju redo att transformera.
Nämnaren blir lite knas p.g.a. det där extra z-1 som finns med. alfa och sin termen går nog att lösa.
Jag tänker finns det någon regel för 1/z-1?
Rätt graf är enligt facit A, det ser ju närmast ut att vara någon form av cosinusfunktion som avtar.
Bump
bump