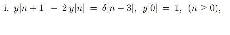
Z transform på en differensekvation med Dirac delta
Precis som topic lyder, har suttit med denna ett bra tag nu och har tappat tålamodet.

Här är en länk till Z transformtabellen jag använder; https://imgur.com/CEgOuwu
Jag börjar så här,, med mitt begynnelsevärde Y[0] = 1 får jag
Z5 (VL) i tabellen och Z11 (HL) , samt att jag flyttar över Z i brackets till HL ger mig:
z - [z[1]] - 2 = z^-3
z -2 = (1/z^3) + z
sätter HL på samma nämnare och sedan dividerar jag med VL:
Y(Z) = (z^4 + 1)/(z^3)(z-2)
Härifrån har jag testat lite olika saker, bland annat att multiplicera in z^2 på både täljare och nämnare, och sedan bryta ut z från täljaren för att sedan multiplicera tillbaka in efter PBU t. ex,
Det bästa jag har kommit till är (1/2) * (2^n - DiracDelta[n-3]) men när jag sätter in t. ex 0 som är begynnelsevillkoret får jag ut 1/2, blir ganska galen på detta, var gör jag fel någonstans?
Borde inte vara fel. Testa polynomdivision och sen partialbråksuppdelning, tror det kan funka.
Micimacko skrev:Borde inte vara fel. Testa polynomdivision och sen partialbråksuppdelning, tror det kan funka.
Så om jag har mitt uttryck på (z^4 + 1)/z^3(z-2)
Bör jag manipulera uttrycket något? dvs multiplicera med Z i täljare och nämnare och sedan bryta ut täljarens Z, eller ska jag göra polynomdiv som det står nu?
Jag hade behövt gånga ihop nämnaren för att få till polynomdivision.
Micimacko skrev:Jag hade behövt gånga ihop nämnaren för att få till polynomdivision.
Jo de gjorde jag, har nu med polynom divison ett uttryck som ser ut så här;
(1+2z^-1 + 4z^-2 + 8z^-3 , sedan en rest på 17/z^4-2z^3
Hur ska jag göra med dessa nu?
Micimacko skrev:Jag hade behövt gånga ihop nämnaren för att få till polynomdivision.
Okej okej nu klickade det lite, vänta ska se här, tror jag gjorde polynomdiven lite fel, ett ögonblick! :D
Micimacko skrev:Jag hade behövt gånga ihop nämnaren för att få till polynomdivision.
Hmm okej jag är fast, är lite osäker på vilket av uttrycken jag ska använda men så här ser de ut;
alternativ 1;
1+2z^-1 + 4z^-2 + 8z^-3 , med en rest på 17/z^4 -2z^3
alt2;
1+2z^-1 + 4z^-2 + 8z^-3+17z^-4 med en rest på ((34/z)/(17z^-4))
Jag körde bara en gång, så 1 + något bråk. Sen pbu. Blir en del konstanter/z som jag tror ska bli olika diracer, och sen 1/(z-2) som ev kan delas med z uppe och nere för att få något.
Micimacko skrev:Jag körde bara en gång, så 1 + något bråk. Sen pbu. Blir en del konstanter/z som jag tror ska bli olika diracer, och sen 1/(z-2) som ev kan delas med z uppe och nere för att få något.
Okej tack för ledtråden, då har jag något att sikta in på.
Micimacko skrev:Jag körde bara en gång, så 1 + något bråk. Sen pbu. Blir en del konstanter/z som jag tror ska bli olika diracer, och sen 1/(z-2) som ev kan delas med z uppe och nere för att få något.
Men för att ha något att sikta på, så jag har 1 + mitt bråkuttryck, jag kommer att utveckla detta till massa Diracer, och när en dirac har värdet 0 så är det = 1,
dvs z^1(1) kommer att bli dirac(n), och när mitt n = 0, kommer den diracen att ge 1, medans alla andra diracer sannolikt kommer ge 0? Har jag tolka diracen rätt?
Micimacko skrev:Jag körde bara en gång, så 1 + något bråk. Sen pbu. Blir en del konstanter/z som jag tror ska bli olika diracer, och sen 1/(z-2) som ev kan delas med z uppe och nere för att få något.
Verkar som att om jag gör polynomdiv hela vägen och/eller gör PBU på 1 + kvotresten så leder det till samma tal ändå! Ska kika mer på det imorgon men tror nog de är som jag säger då;
dvs 1+2z^-1 +4z^-2 +17z^-4 och sedan tar kvoten för sig, alla dessa diracer kommer ju ändå ge 0 i slutändan och min första dirac den +1 som jag har ovan kommer ju att bli dirac[n], dvs dirac[0] = 1 och villkoret uppfyllt.
Micimacko skrev:Jag körde bara en gång, så 1 + något bråk. Sen pbu. Blir en del konstanter/z som jag tror ska bli olika diracer, och sen 1/(z-2) som ev kan delas med z uppe och nere för att få något.
Löste på anna sätt idag, , (Z^4 + 1)/z^3(z-2) , vi delar på de till två termer, Z^4/z^3(z-2) och 1/z^3(z-2) , därefter var det bara tabellen. Tack!