1
svar
294
visningar
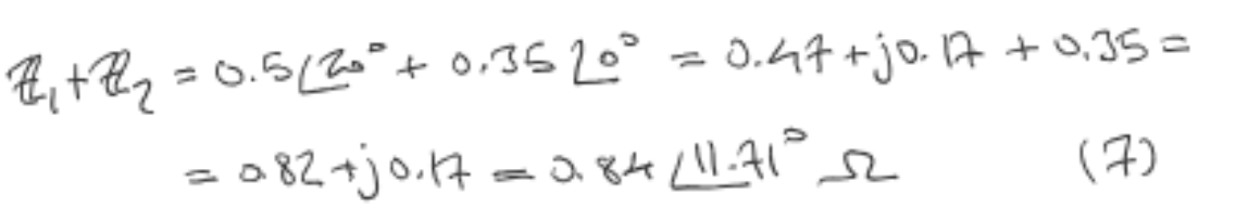
Z1 + z2, göra om till komplext tal.
Hej! Jag försöker förstå ett lösningsförslag till en uppgift men det här steget i lösningsförslaget förstår jag inte riktigt. Hur kommer får han att det blir 0.47+j0.17 + 0.35?

tack på förhand!
z = betyder z = a(cos(v˚) + jsin(v˚)).
0,520˚ = 0,5(cos(20˚) + jsin(20˚)) = 0,4698 + j0,1710.
0,350˚ = 0,35.