2 sammansatta funktioner i en
Hej! Jag vet att vi har två sammansatta funktioner i en, vars båda yttre funktionerna har samma inre funktion. Detta är första gången jag stöter på detta så jag vet inte riktigt hur det ska deriveras.
Ska sin och cos behandlas som egna funktioner och deriveras via sina egna yttre och inre funktioner, och sedan sättas ihop? Är det vi får då den färdiga derivatan av hela funktionen?

Kortsvar: Ja.
När du tar derivatan av y, så kan du behandla det som att ta derivatan av varje enskild komponent. Detta gäller endast för addition och subtraktion mellan funktionerna (om man har multiplikation/division gäller alltså produktregeln och kvotregeln respektive). Med sammansatta funktioner bör man använda sig av kedjeregeln.
I det här fallet har du två termer som i sig själva är sammansatta funktioner, 3sin(2x) och -cos(2x). Det du gör först är att behandla de som egna funktioner och sedan bara derivera och till slut sätta ihop, som du redan sa.
Sedan är det bara förstå hur tangenten till kurvan förhåller sig till funktionen y för att lösa själva problemet.
Tack!!
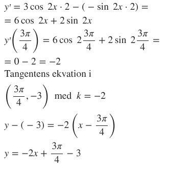
Jag fick derivatan som facit fick i första raden, men jag förstår inte hur y = -3? Vart kom det ifrån och varför står det y - (-3) i VL istället för bara -3?
Dr.scofield skrev:
Jag fick derivatan som facit fick i första raden, men jag förstår inte hur y = -3? Vart kom det ifrån och varför står det y - (-3) i VL istället för bara -3?
Det jag tror de gör är att utnyttja sig av faktumet att vid punkten (3pi/4, -3) så är derivatan -2.
Genom att använda sig av formeln för att räkna ut lutningen av en rät linje (delta y/ delta x) mellan punkterna (x,y) och (3pi/4, -3) så får man:
(y - (-3))/ (x - 3pi/4) = -2
och från detta får facit dess uttryck.
förlåt om jag skriver lite slarvigt, är ute just nu och skriver det som jag ser bara. Facits sätt att lösa dock var ett väldigt fint sätt att tänka kring dessa uppgifter faktiskt!
—————-
en fråga som jag har till allmänheten dock är varför (x,y) inte är detsamma som punkten vi jämför med, då tangenten vid punkten där den tangerar får ju samma koordinater? Resulterar bara det inte till att k blir 0? Kanske en dum fråga, eftersom jag har nyss sagt att det var ett snyggt sätt att lösa men nu börjar jag övertänka lite tror jag 😅
För x=3pi/4 är y=-3 och y´ =-2 (=k) uträknat
Linjen blir y=kx+l och med ovanstående x, k och y blir l= 3pi/2-3 och
y=-2x + 3pi/2 -3
(I svaret ovan har en 2:a inte multiplicerats in.)
Dr.scofield skrev:[...] men jag förstår inte hur y = -3? Vart kom det ifrån och varför står det y - (-3) i VL istället för bara -3?
De använder enpunktsformeln , som.är ett enkelt sätt att ange räta linjens ekvation om man känner till en punkt och linjens lutning .
Är det samma formel som används här? Jag skulle precis lösa denna uppgift och lösningen påminde mig om just det du sa där. Denna formel finns dock inte i formelbladet (vad jag vet), kan jag få m på ett annat sätt i uppgiften nedan?

Ja. Det är samma formel.
Även om enpunktsformeln inte finns i formelsamlingen så vet du säkert sedan tidigare att k=Δy/Δx. För du över Δx till VL så har du den.