Andelar
Frågan: Under ett ebolautbrott i en by i Kongo överlevde endast 14 personer. Det motsvarade 2/21 av de som blivit smittade. Hur många blev smittade?
Jag gjorde så här: eftersom 14 pers var lika med 2/21 ville jag ta reda på hur många personer det var sammanlagt i Kongo från början. Då tog jag 21/2=10,5 och sedan 14x10,5 vilket blev 147. Det betyder att det var 147 personer sammanlagt visst? Sedan tog jag 147-14 vilket blev 133. Det betyder väl att 133 personer blev smittade? I facit står det att 147 personer blev smittade, men det var väl alla personer sammalagt? Vad gör jag för fel?
X=totala antalet
X×2/21=14 lös ut x
Jag vet inte vad du tänker när du tar 21/2=10,5 och 14x10,5=147
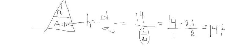
Är det så att du använder andelstriangeln och tar delen/andelen för att få ut det hela. Se nedan

Du får rätt tal men jag är inte helt med på din tanke. Du behöver inte dock ta bort de 14 personerna. De blev också smittade, skillnaden är bara att de överlevde.
Man kan också tänka att
Så kan det också vara som du tänker men det stämmer inte heller riktigt helt med din uträkning