Ange antalet reella lösningar till olikheten
Uppgift11. 
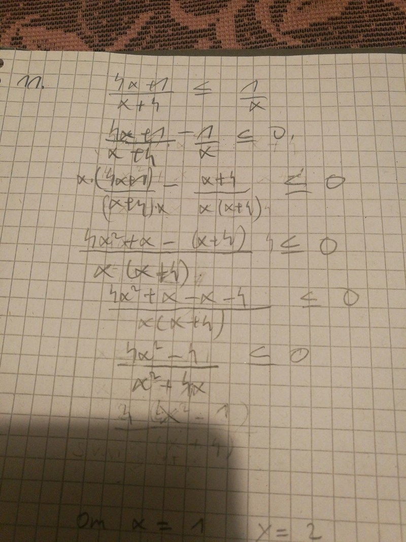
Såhär löste jag den och svarade att alternativ D för att jag kom fram till att olikheten har 2 lösningar, men facit säger alternativ c. Det är det jag ej förstår.

Du har två lösningar. Är inte det alternativ (a)?
Det är när , men du har två fall till.
När och när
ConnyN skrev:Du har två lösningar. Är inte det alternativ (a)?
Det är när , men du har två fall till.
När och när
Aa det måste ju vara alternativ a) men vad menar du med 2 fall till? Och varför skriver du de där två intervallet? I nämnaren får ju ej x vara lika med - 4 då blir det ju 0
Mahiya99 skrev:ConnyN skrev:Du har två lösningar. Är inte det alternativ (a)?
Det är när , men du har två fall till.
När och närAa det måste ju vara alternativ a) men vad menar du med 2 fall till? Och varför skriver du de där två intervallet? I nämnaren får ju ej x vara lika med - 4 då blir det ju 0
Nej det har du rätt i. Jag är osäker på detta. Vi får hoppas på mer hjälp 😊
ConnyN skrev:Mahiya99 skrev:ConnyN skrev:Du har två lösningar. Är inte det alternativ (a)?
Det är när , men du har två fall till.
När och närAa det måste ju vara alternativ a) men vad menar du med 2 fall till? Och varför skriver du de där två intervallet? I nämnaren får ju ej x vara lika med - 4 då blir det ju 0
Nej det har du rätt i. Jag är osäker på detta. Vi får hoppas på mer hjälp 😊
Yes det blir bra. Jag tänkte också på alternativ A när vi var inne på det, men facit håller ej med.
Det är farligt att multiplicera med något okänt i olikheter, eftersom att olikheten byter riktning om man multiplicerar med något negativt.
Börja därför istället med att subtrahera HL, dvs skriva om det som . Skriv nu allt på gemensamt bråkstreck och fortsätt därifrån.
Moffen skrev:Det är farligt att multiplicera med något okänt i olikheter, eftersom att olikheten byter riktning om man multiplicerar med något negativt.
Börja därför istället med att subtrahera HL, dvs skriva om det som . Skriv nu allt på gemensamt bråkstreck och fortsätt därifrån.
Jag kommer inte fram till något 
Mahiya99 skrev:ConnyN skrev:Du har två lösningar. Är inte det alternativ (a)?
Det är när , men du har två fall till.
När och närAa det måste ju vara alternativ a) men vad menar du med 2 fall till? Och varför skriver du de där två intervallet? I nämnaren får ju ej x vara lika med - 4 då blir det ju 0
Om vi säger och när samt x = 1 och x = -1 istället då?
Då kommer vi nära det grafräknaren visar i alla fall.
ConnyN skrev:Mahiya99 skrev:ConnyN skrev:Du har två lösningar. Är inte det alternativ (a)?
Det är när , men du har två fall till.
När och närAa det måste ju vara alternativ a) men vad menar du med 2 fall till? Och varför skriver du de där två intervallet? I nämnaren får ju ej x vara lika med - 4 då blir det ju 0
Om vi säger och när samt x = 1 och x = -1 istället då?
Då kommer vi nära det grafräknaren visar i alla fall.
Men på det här provet får man ju ej ha räknare alls, kan man ej visa det algebraiskt hur man kommer fram till de heltal lösningarna?? Så om jag förstår detta rätt så kan man se vilka x det är i täljare och i närmare??
En god idé kan väl vara att ta fram asymptoterna för vänster respektive högerledet.
ConnyN skrev:En god idé kan väl vara att ta fram asymptoterna för vänster respektive högerledet.
Okej så x=-4 är en Asymptot vänster ledet , x =0 höger ledet är också en Asymptot? Jag satte täljaren lika med 0 och fick ut 2 lösningar och gjorde samma sak med nämnaren och fick ut också 2 lösningar. Man borde kunna göra så också va?
ConnyN skrev:Du har två lösningar. Är inte det alternativ (a)?
Det är när , men du har två fall till.
När och när
Prova exempelvis -3,
(-3)4/(-3+4)=-12 = VL
HL= -1/3, men -1/3 > -12, olikheten är därför satisfierad.
Enklaste sättet är egentligen att lösa detta som en helt vanlig olikhet. Moffen nämner något extremt viktigt tidigare i tråden, att undvika multiplikation av något okänt. Detta är extremt viktigt att tänka på när det kommer till olikheter, använd endast subtraktion, addition och faktorisera, ingen division eller multiplikation eftersom vi då får väldigt många nya fall som måste kollas. Skippar vi detta kommer vi garanterat att få fel lösningar.
Bättre är då att helt utesluta division och multiplikation om man vill göra livet enkelt.
Teckentabell => ta fram intervallet som vanligt och plocka sedan ut heltalslösningarna.
Dracaena skrev:ConnyN skrev:Du har två lösningar. Är inte det alternativ (a)?
Det är när , men du har två fall till.
När och närProva exempelvis -3,
(-3)4/(-3+4)=-12 = VL
HL= -1/3, men -1/3 > -12, olikheten är därför satisfierad.
Enklaste sättet är egentligen att lösa detta som en helt vanlig olikhet. Moffen nämner något extremt viktigt tidigare i tråden, att undvika multiplikation av något okänt. Detta är extremt viktigt att tänka på när det kommer till olikheter, använd endast subtraktion, addition och faktorisera, ingen division eller multiplikation eftersom vi då får väldigt många nya fall som måste kollas. Skippar vi detta kommer vi garanterat att få fel lösningar.
Bättre är då att helt utesluta division och multiplikation om man vill göra livet enkelt.
Teckentabell => ta fram intervallet som vanligt och plocka sedan ut heltalslösningarna.
Jag fattar fortfarande ej, frågan är att hitta antal heltal lösningar? Tänk om man ej kan komma på tex x=-3. Finns det inget annat sätt?
Vad menar du? Jag sa ju precis hur du kan lösa uppgiften.
Dra över allt på ena sidan och gör en teckentabell, precis som om du hade löst olikheten som vanligt.
När du har ett intervall är det ju enkelt att ta fram heltalslösningar, eller hur?

Jag hade löst den på följande vis, det behöver inte vara mer komplicerat än så!
Dracaena skrev:
Jag hade löst den på följande vis, det behöver inte vara mer komplicerat än så!
Okej, men varför använder du just teckentabell? Jag resonerade som så att i täljaren har jag (2x-2)(2x+2)/x(x+4)<=0 jag tänkte att i täljaren har vi 2 lösningar. Och i nämnaren 2 till.
Nej, du har ingen lösning för x=0 eller x=-4 eftersom du då dividerar med 0. Teckentabell gör olikheter extremt enkla att lösa, det tar inte mer än 30 sekunder. markera ut vart respektive faktor är 0 som ovan, sedan ser du nog att allt mindre är negativt, allt större är positivt så man behöver inte ens tänka.
Detta skiljer så klart beroende på tecken, men du behöver bara se om faktorn du studerar är negativ för något mindre än dess nollstället (eller större) så vet du direkt resten av dina tecken för just den faktorn.
Detta är standardmetoden för att lösa olikheter, så om du inte kan detta redan, gör dig själv en stor tjänst och lär dig det! :)
Dracaena skrev:Nej, du har ingen lösning för x=0 eller x=-4 eftersom du då dividerar med 0. Teckentabell gör olikheter extremt enkla att lösa, det tar inte mer än 30 sekunder. markera ut vart respektive faktor är 0 som ovan, sedan ser du nog att allt mindre är negativt, allt större är positivt så man behöver inte ens tänka.
Detta skiljer så klart beroende på tecken, men du behöver bara se om faktorn du studerar är negativ för något mindre än dess nollstället (eller större) så vet du direkt resten av dina tecken för just den faktorn.
Detta är standardmetoden för att lösa olikheter, så om du inte kan detta redan, gör dig själv en stor tjänst och lär dig det! :)
Ok jag tror nog jag förstår detta metod för lösning av olikheter.
Säg till annars om det är något som är oklart så kan vi försöka reda ut det.
