2
svar
124
visningar
PluggarN1337 behöver inte mer hjälp
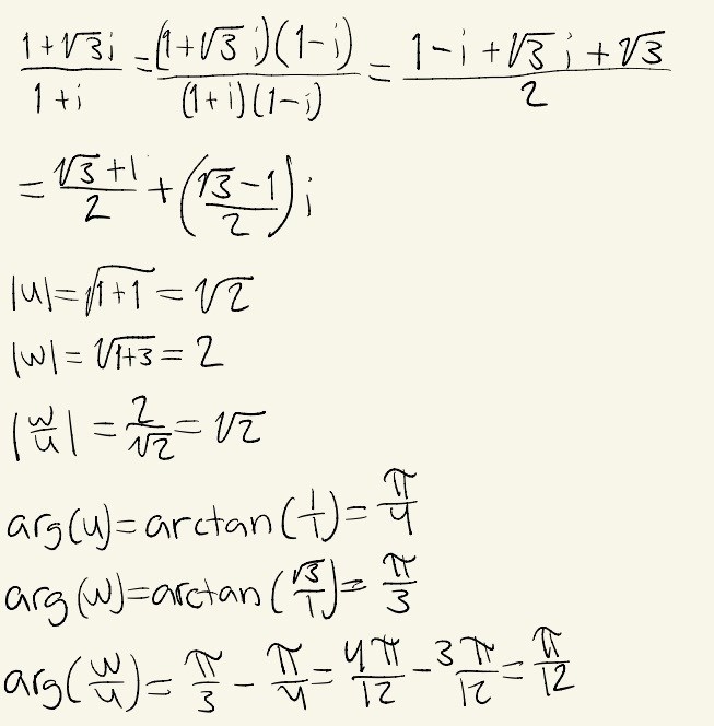
Använd resultaten till att bestämma exakta värden för cos(15°) och sin (15°)

Jag har skrivit det på rektangulär form och även bestämt |w/u| och Arg(w/u). Jag vet bara inte hur jag ska gå vidare nu för att bestämma exakta värden för cos(15°) och sin(15°) med dessa resultaten. Om någon har en idé om hur man gör så hade det varit uppskattat!

Hej och välkommen till pluggakuten.
Tips: du kan skriva upp sinussatsen och cosinussatsen för ouw triangeln.

Men se Trinity2s förslag istället, det är enklare :)
Använd vad du räknat ut och skriv upp u/w på "a+bi"-form samt med cos/sin och identifiera Re/Im-delar, så är du klar.