Är det rätt resonemang och mekanism för reaktionen?
Halloj!
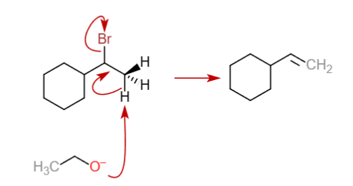
Jag håller på att jobba med en uppgift angående en eliminationsreaktion. Jag vet att det antingen är en E1- eller E2-reaktion, och ska avgöra vilken av dessa det är och också hur den förlöper. Substratet är bromoetylcyklohexan i närvaro av etoxidjoner och etanol. Mitt resonemang är att det borde vara en E2-reaktion, eftersom etoxidjonen är en stark bas. Samtidigt är etanol ett polärt och protiskt lösningsmedel, vilket skulle kunna stabilisera eventuella karbokatintermediärer. Alkylhaliden ger ingen användbar information eftersom den är sekundär. Trots lösningsmedlets eventuella stabiliserande förmåga verkar det ganska entydigt att basen gör att reaktionen är en E2-mekanism.
Jag har försökt rita så som jag tror att reaktionen förlöper och försökt rita produkten:

Problemet här som jag ser det är dock att alkenen är primär. Om dubbelbindningen istället satt på bindningen till vänster hade vi fått en tertiär alken, vilken är mycket mer stabil. Jag är dock osäker på vilket väte som i så fall attackeras av etoxiden. Jag tänkte att det kanske är vätet som sitter på kol 1 i hexanringen. Om man tänker att bromoetylen pekar ut mot oss borde väl det vätet peka "in i planet", så vi får rätt geometri för att det vätet skulle kunna attackeras?
Din tanke om E2 låter rimlig, det är en stark (!) bas. Lösningsmedlet/alkoholen är förvisso polär men alls på samma nivå som vatten, och kombinationen av R-OH/R-O- gynnar E2. Det är en ganska vanlig kombination att använda syraformen av basen (etanol) som lösningsmedel för att styra mot en E2 reaktion. Etoxiden kommer inte "förbrukas" under reaktioner med andra syra/basreagerande ämnen, för vid en reaktion med etanol återskapas en ekvivalent mängd av etoxiden. Nu har du inte angivit vid vilken temperatur denna reaktion är tänkt att se, men så länge du inte värmer ordentligt kommer E2 dominera.
Vilken produkt som kommer dominera kan du resonera kring, baserat på reaktantens struktur. För att E2 reaktionen skall ske behöver orbitalerna för vätet (som basen abstraherar) och den lämnande gruppen vara antiperiplanära. Och oavsett vilket väte du betraktar, metylgruppens eller vätet i cyklohexanringen, kommer den andra gruppen påverka hur lätt basen kommer åt vätet. Vilket väte tror du kommer vara minst skymt (crowded)?
För att E2 reaktionen skall ske behöver orbitalerna för vätet (som basen abstraherar) och den lämnande gruppen vara antiperiplanära.
Jo precis, det var därför jag valde vätet på metylgruppen. Men egentligen så borde väl bromoetylgruppen peka "ut" eller "in" i planet, eller hur? Alltså bidningen borde antingen vara wedged eller dashed. I så fall borde vätet på β-kolet i hexanringen också vara det, och i så fall har vi en antiperiplanär struktur även om vi väljer hexankolet. Jag har byggt molekylen själv och det verkar som om det stämmer.
Jag tänkte på Zaitevs regel och enligt denna skulle väl vätet på hexankolet attackeras? Eftersom det leder till en mer substituerad alken än om vätet i min figur attackeras.
Jag är osäker på hur man ska resonera i termer av "crowding"? Har det att göra med basens storlek och hur lätt den "kommer in"?
Gränsfall, och man får nog räkna med att få en komplicerad blandning med bytande andel av andra produkter.
Men skulle gissa på att basen plockar cyklohexanvätet snabbare så att du får mest av Zaitsev-produkten. Om du hade använt en bulkigare bas (t.ex. tert-butyloxid) hade jag varit mer benägen på att rösta på Hofmann-produkten som i bilden i trådstarten.
Tillägg: 6 mar 2025 13:32
Korrekt noterat för övrigt att kolet med bromatomen är kiralt, men jag tror inte det kommer ha någon betydelse för produkten.
Jag funderar fortfarande på vad som avses med skymdhet. Hör det ihop med begreppet "steric hindrance"? Ska man kanske försöka rita den energetiskt bästa "chair conformationen" och försöka resonera utifrån den? Så man får en bättre uppfattning om hur molekylen faktiskt ser ut.
Jag tror skymdhet, crowding, steriskt hinder osv. syftar på samma fenomen – att om det är för mycket atomer ivägen mellan nukleofil och elektrofil så kommer reaktionen gå långsammare (och andra reaktioner än det som man normalt väntar sig kan få en chans att hinna ske först). Men mag1 eller någon annan som har detta färskare i minnet kan kanske nyansera!
Oavsety vad låter det föredömligt att rita ut konformationen för att få en bättre känsla för geometrin! 😊
Sen är det så klart alltid svårt att bara utifrån en teckning eller molekylmodell definitivt bedöma hur mycket "plats" som finns i verkligheten, utan man får i grund och botten också förlita sig en del på empiri.
Min favoritsida om organkemi håller för övrigt med om att Zaitsev antagligen kommer dominera i det här fallet:
https://www.masterorganicchemistry.com/2017/10/18/the-hofmann-elimination/
Men så klart beror utfallet på reaktionsbetingelser och sånt, så helt säker kan nog ingen vara.
Jag tror din lärare blir nöjd om du visar att du kan föra en diskussion om olika tänkbara produkter, oavsett exakt vilken slutsats du landar i 🙂
Här är mitt försök till en ritning:

Jag ritade bara in de två väten i ringen eftersom de är de enda som jag tror kommer spela någon roll. Är det rätt att detta är den "bästa" konformationen? Jag försökte sätta bromoetylgruppen på den ekvatoriella positionen, för att minimera de "diaxiella" interaktionerna i molekylen.
Om detta är rätt verkar det rent spontant som att det axiella vätet som är antiperiplanärt till bromatomen är den som är mest tillgänglig. Om basen försöker attackera vätet på β-kolet i metylgruppen så finns det tre två andra väteatomer "i vägen". Attacken försvåras väl om elektrondensiteten är högre i området som attackeras?
I min bild ser det ju inte ut som om bromet och vätet har rätt geometri, men jag tänker att C-C-bindningen kan vridas och att vi har denna ekvivalens:

Och nu är det rätt tydligt att de har en antiperiplanär struktur.
Ja det ser ut att vara antiperiplanär och det ser ut att vara en bra geometri för reaktionen. De andra vätena kommer påverka hur lätt etoxiden kommer åt vätet som skall abstraheras, och till viss del kommer cykolhexanringen att vibrera och flippa mellan de olika formerna av stol/båt. Så din ritade idealiserade form kommer inte vara den enda som finns, men den känns som om den borde vara en av de vanligaste.
Ett väte på metylgruppen kan hamna antiperiplanärt till C-Br bindningen efter en liten rotation längs bindningen i etylgruppen.
Det blir nog enklare att tänka sig det med en byggsats i handen, men bilden nedan illustrerar hyfsat vad jag syftade på tidigare, skillnaden mellan hur lättåtkomligt vätet i cyklohexan 1) är jämfört med ett av vätena i metylgruppen 2).

Ytan illustrerar Van der Walls radierna för de olika atomerna, och vinkeln med vilken etoxiden kan komma åt 1) är mycket mindre än för 2). För basen behöver inte komma in i linje med de andra bindningarna för att kunna ta protonen, dess elektroner behöver "bara" tränga undan elektronerna i orbitalen för C-H bindningen och binda till sig protonen.
"Underifrån" blir det nog tydligare skillnaden i crowding för 2) längst till höger i bilden.

Väldigt intressanta och snygga bilder, mag1! Ritade du dem själv, och i så fall hur? 🙂
oggih skrev:Väldigt intressanta och snygga bilder, mag1! Ritade du dem själv, och i så fall hur? 🙂
Jag fixade dem med PyMol. Borde finnas motsvarande för mindre molekyler med, men jag har inte hittat någon mjukvara för det. Vore bra med en sådan dock, chemdraw och liknande saknar så vitt jag vet stöd för mer grafiskt tilltalande figurer.
Fundering: Hur påverkas ringspänningen i cyklohexanen om en av kolatomerna blir sp2-hybridiserad (vilket är fallet i Zaitsev-produkten)?
oggih skrev:Fundering: Hur påverkas ringspänningen i cyklohexanen om en av kolatomerna blir sp2-hybridiserad (vilket är fallet i Zaitsev-produkten)?
Bra fråga. Spontant känns det som om ringspänningen inte borde påverkas, väldigt lite om de påverkas alls. Det sp2 hybridiserade kolets bindningsvinklar blir nog lite större (nära 120) jämfört med innan som sp3 (109). Ringen kan fortfarande anta den stolkonfiguration med den lägre energin, när sp2 kolets trehörning utgör "ryggstödet" i stolen. Och i.o.m. att ringen är ganska stor, känns det som om de andra kolen väl bara kan bökas till en pyttebit så att 120 vinkeln inte påverkar ringspänningen så mycket.

Rimlig analys – och återigen väldigt snygg och informativ molekylmodell!
Lite klurig fråga dock, för det vinklarna blir ju lite annorlunda så jag tycker att det borde påverka ringspänningen.
Ringspänningen kan uppskattas från skillnaden i förbränningsvärme (heat of combustion) mellan rak/ringsluten variant. Men kruxet med den molekyl vi tänker oss oggih, är att den enas dubbelbindning gör jämförelsen svårare. Jag kommer inte på något bra sätt att kompensera för denna skillnad just nu i alla fall. Men kan man dra bort skillnaden i förbränningsvärme som uppstår i och med dubbelbindningen, borde man få ett mått på skillnaden i ringspänning.
Förbränningsvärmevärden för ämnena (hittade jag på denna sida), men de innehåller fortfarande en bidrag från skillnaden som dubbelbindningen ger.
Metyl cyklohexan: ΔcH°liquid-4565.3 kJ/mol
Metylen cyklohexan: ΔcH°liquid-4412.4 kJ/mol