4
svar
132
visningar
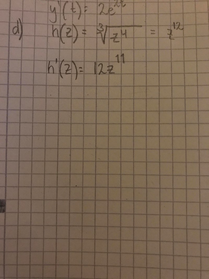
(z^4)^(1/3) är inte lika med z^12
Tredjeroten ur är detsamma som att upphöja till en tredjedel
Så då? Fast det borde gå att skriva snyggare eller?
Precis!
Det är väl i så fall en smaksak vad man tycker är snyggast.
Du kan skriva det som:
Tack :)
