3 svar
55 visningar
Päivi behöver inte mer hjälp
Päivi 5547 – Avstängd
Postad: 11 nov 2017 10:17

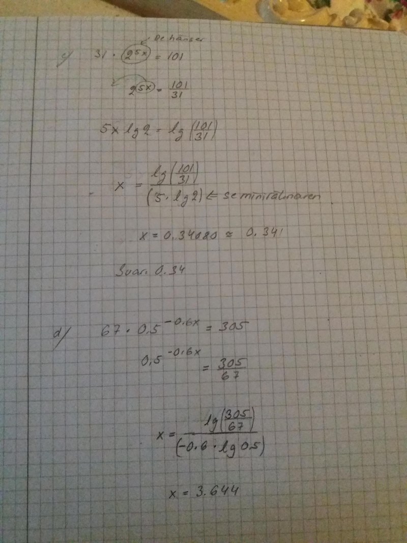
Är detta riktigt uträknat? Kommentar

joculator 5203 – F.d. Moderator
Postad: 11 nov 2017 10:22

Ser bra ut

woozah 1414 – Fd. Medlem
Postad: 11 nov 2017 10:22

Båda uppgifterna är korrekt lösta. 

Päivi 5547 – Avstängd
Postad: 11 nov 2017 10:23

Tack så mycket för detta. 

Svara
Close