2
svar
63
visningar
Henrik behöver inte mer hjälp
Avläsa Primitiv funktion
Hur läser man av grafen till den primitiva funktionen, m a o hur beräknar man arean under grafen? Facit säger (-1), men hur kan man komma fram till det svaret?
Är du säker att svaret inte är 0?
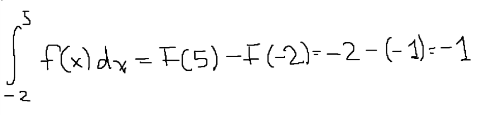
När du integrerar en funktion f så får du den primitiva funktionen F. Så om du kollar på integralen av f(x) så blir den primitiva funktionen F(x). Sen evaluerar du F(x) för x=5 och x=-2. Dvs F(5)-F(-2), dessa avläser du i figuren. Det blir 0-0=0
Edit: För x=5 är inte F(5)=0, det ser ut som att F(5)=-2. Även för x=-2 så ser det ut som att F(-2)=-1

Tänk på integralkalkylens fundamentalsats! Du kan använda att bilden visar grafen till utan att veta hur funktionen definieras.