Avstånd i det komplexatalplanet

Jag försökte tänka såhär

Men kommer ingen vart.
På facit står det såhär: 
Men jag tänker, finns det inte något samband eller något annat sätt att tänka? Istället för att ge konkreta tal.
Det finns oändligt många lösningar. En annan lösning är och .
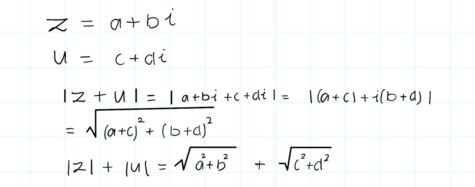
Man kan definitivt ställa upp en samband, vilket du ju i princip har gjort. Du har väl kommit fram till att:
Vilka krav finns det för för att dessa två uttryck ska kunna vara lika?
naytte skrev:Det finns oändligt många lösningar. En annan lösning är och .
Man kan definitivt ställa upp en samband, vilket du ju i princip har gjort. Du har väl kommit fram till att:
Vilka krav finns det för för att dessa två uttryck ska kunna vara lika?
.... vet inte riktigt
Då sätter vi uttrycken helt enkelt lika med varandra och jämför HL med VL:
Om vi låter variablerna vara omväxlande lika med noll hittar vi direkt några lösningar, t.ex. . Då får vi:
Men att ställa upp ett generellt samband blir nog lite krångligt. Men det går säkert. Trixa lite så hittar du kanske ett sätt!
ok tack!
Man kan tänka på summan av två vektorer. Beloppet av summavektorn är störst när de är parallella.