(ax)^lg(a) = (bx)^lg(b)
Hej! Jag lyckas inte lösa ekvationen (ax)^lg(a) = (bx)^lg(b). Tacksam för hjälp.
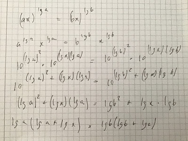
Nu är detta fjärde gången jag försöker starta samma tråd på pluggakuten.se men det står bara ”Ett fel uppstod”, så jag tänker tyvärr inte skriva hur jag försökt lösa ekvationen en gång till. Jag kan säga att jag har t.ex. försökt logaritmera hela båda leden och fortsätta därifrån. Jag testade även ta bort parenteserna runt de två faktorerna ax och bx och låta varje faktor upphöjas till samma exponent men detta hjälpte mig inte.
Hej!
Du kan börja med skriva om
Kommer du vidare?
Jag testade även ta bort parenteserna runt de två faktorerna ax och bx och låta varje faktor upphöjas till samma exponent men detta hjälpte mig inte.
Det har jag redan skrivit att jag har testat :)
Zeus skrev:Jag testade även ta bort parenteserna runt de två faktorerna ax och bx och låta varje faktor upphöjas till samma exponent men detta hjälpte mig inte.
Det har jag redan skrivit att jag har testat :)
Aha oj läste inte hela texten :P
Tycker man kan lösa den genom att logitimera båda sidorna. Och sedan får man ta hänsyn i svaret att man inte ska logitimera negativa saker. Ser ut något såhär
och så kan du fortsätta
xXtian skrev:Tycker man kan lösa den genom att logitimera båda sidorna. Och sedan får man ta hänsyn i svaret att man inte ska logitimera negativa saker. Ser ut något såhär
och så kan du fortsätta
Jag hade redan kommit exakt dit faktiskt, helt ärligt talat. Men kunde inte komma på hur jag skulle fortsätta. 
Bra jobbat!
Nästa steg är som en vanlig ekvation. Lös ut lg(x), du kan behandla det som en vanlig variabel. Exempelvis sätt y = lg(x), lös för y och sedan x = e^y
Hej Zeus,
Ekvationen kan skrivas
och lösningen blir då
Jag har nog tappat bort mig och gjort fel någonstans:

Prova sätt in svaret i ursprungliga likheten och se om det blir rätt.
Jag får VL = HL. Tack!
Albiki skrev:Hej Zeus,
Ekvationen kan skrivas
och lösningen blir då
Albikis lösning för x, borde inte den kunna förenklas till 1/ab? Om inte, vad beror det på? Tack igen.
Det gäller att vilket med och ger att kvoten kan skrivas på gemensam bas
Med hjälp av Konjugatregeln får man därefter
som med logaritmlagar blir
Sätt nu in detta i lösningen ovan för att få
Det förenklade svaret är alltså att löser den ursprungliga ekvationen.
Jag förstår, men betyder det att 1/ab är fel?
Mitt inlägg är fel i det sista steget. Vid beräkning av upphöjer jag till när det istället ska vara upphöjt till Detta får som konsekvens att den förenklade lösningen blir som även du fick.
Ah, där ser man. Tack för den enorma hjälpen ni båda två! Det gör skillnad :)