1
svar
66
visningar
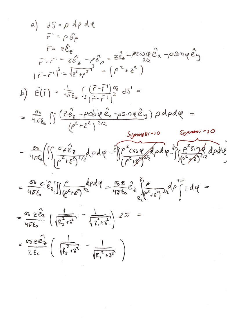
[Vektoranalys]Beräkna elektriska fältet längs z-axeln

Jag har bestämt elementen på följande vis:
dS'= ρdρdφ
r' = ρêρ
r = zêz
Jag har sedan beräknat integralen på följande vis, men uttrycket som jag får känns konstigt, någon som har en tanke på vad som ev. går fel?

kolibri, du har redan en tråd om den här frågan, fortsätt där! Det står i Pluggakutens regler att man inte får ha mer än en tråd om varje fråga. Jag låser den här tråden. /moderator