13 svar
474 visningar
destiny99 behöver inte mer hjälp
destiny99 11882
Postad: 21 jun 2025 08:35 Redigerad: 21 jun 2025 09:03

Beräkna generaliserad integral

Hej!

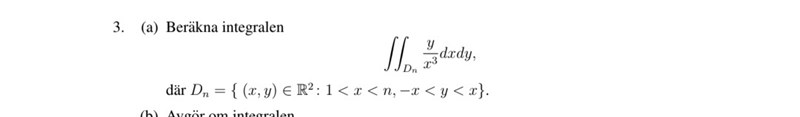
Jag slarvade på denna uppgift under en tenta och tydligen är den begränsad  , men jag ser inte hur den är begränsad och sluten. Sen förstår jag inte varför gränserna är 1 till n samt - x till x när olikheten är strikt och inte inkluderar lika med?

Yngve Online 42943
Postad: 21 jun 2025 09:07

Hur lyder frågorna?

destiny99 11882
Postad: 21 jun 2025 09:12 Redigerad: 21 jun 2025 09:13
Yngve skrev:

Hur lyder frågorna?

3a är frågan som jag undrar om. Jag vet inte om du kan se bilden jag postade ovanför inlägget. 

Trinity2 4382
Postad: 21 jun 2025 11:51

Eftersom den är udda i y är integralen 0.

destiny99 11882
Postad: 21 jun 2025 12:23
Trinity2 skrev:

Eftersom den är udda i y är integralen 0.

Hur menar du udda? Varför är integralen 0?

Trinity2 4382
Postad: 21 jun 2025 14:57 Redigerad: 21 jun 2025 15:01

Fixera x.

Integrand udda i y-led. 
Integrationsintervall är symmetriskt runt x-axeln. 
Y-integral blir därmed 0 vilket ger att hela integralen blir 0.

Yngve Online 42943
Postad: 21 jun 2025 19:12 Redigerad: 21 jun 2025 19:14
destiny99 skrev:

3a är frågan som jag undrar om. Jag vet inte om du kan se bilden jag postade ovanför inlägget. 

Jo, jag ser bilden, men det var ju inte den du frågade om, utan istället varför integralen är begränsad och sluten, vilket jag antar att följdfrågorna handlar om.

naytte 8002 – Moderator
Postad: 21 jun 2025 19:34 Redigerad: 21 jun 2025 19:36

Angående gränserna:

Definitionen av integralen är sådan att integralen över ett intervall (a,b)(a,b) är densamma som över [a,b][a,b]. På samma sätt blir integralen över ett område DD (kanske slutet eller öppet i någon eller båda ändar) samma som integralen över ett område D{ett ändligt antal punkter}D\setminus \{\text{ett ändligt antal punkter}\}.

destiny99 11882
Postad: 21 jun 2025 21:36 Redigerad: 21 jun 2025 21:40
Yngve skrev:
destiny99 skrev:

3a är frågan som jag undrar om. Jag vet inte om du kan se bilden jag postade ovanför inlägget. 

Jo, jag ser bilden, men det var ju inte den du frågade om, utan istället varför integralen är begränsad och sluten, vilket jag antar att följdfrågorna handlar om.

Ja exakt det stämmer. Jag ställde dessa frågor pga lösningsförslaget påstod att integralen är begränsad och tog med gränserna som D omsluts av.

destiny99 11882
Postad: 21 jun 2025 23:29 Redigerad: 21 jun 2025 23:29
naytte skrev:

Angående gränserna:

Definitionen av integralen är sådan att integralen över ett intervall (a,b)(a,b) är densamma som över [a,b][a,b]. På samma sätt blir integralen över ett område DD (kanske slutet eller öppet i någon eller båda ändar) samma som integralen över ett område D{ett ändligt antal punkter}D\setminus \{\text{ett ändligt antal punkter}\}.

Men gud så bra förklaring. Tackar för det naytte! Vad innebär det där sista du skrev btw med \ ? Det hängde jag inte med på. 

naytte 8002 – Moderator
Postad: 21 jun 2025 23:51 Redigerad: 21 jun 2025 23:51

Det betyder "mängden D men där vi tar bort mängden bestående av ett antal punkter". Det jag menade var att integralen existerar och ger samma värde på ett kontinuerligt intervall som på samma intervall med ändligt många diskontinuiteter.

Yngve Online 42943
Postad: 22 jun 2025 09:08
destiny99 skrev:

Ja exakt det stämmer. Jag ställde dessa frågor pga lösningsförslaget påstod att integralen är begränsad och tog med gränserna som D omsluts av.

OK då förstår jag.

Har du fått svar på dina frågor?

destiny99 11882
Postad: 27 jun 2025 15:03
Yngve skrev:
destiny99 skrev:

Ja exakt det stämmer. Jag ställde dessa frågor pga lösningsförslaget påstod att integralen är begränsad och tog med gränserna som D omsluts av.

OK då förstår jag.

Har du fått svar på dina frågor?

Ja 

destiny99 11882
Postad: 27 jun 2025 15:03
naytte skrev:

Det betyder "mängden D men där vi tar bort mängden bestående av ett antal punkter". Det jag menade var att integralen existerar och ger samma värde på ett kontinuerligt intervall som på samma intervall med ändligt många diskontinuiteter.

Tack då är jag med!!

Svara
Close