6
svar
233
visningar
Katarina149 behöver inte mer hjälp
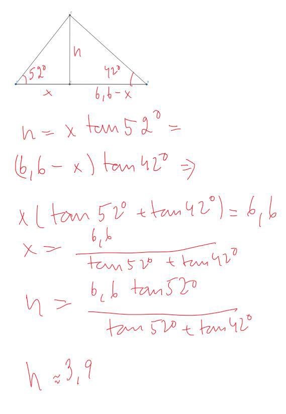
Beräkna höjden h
Hej! Jag undrar om min uträkning är rätt

Ja, det är rätt. Och PB behöver du inte alls.
Ja den, stämmer.
Men egentligen behövde du inte beräkna längden av AP.
Det gäller ju att sin(42°) = h/5,21
Nja.

henrikus skrev:Nja.
Den här raden stämmer inte, det saknas en faktor tan(42) i högerledet.
Jag såg det också och då blir det samma svar h = 3,5
Det var bra eftersom bägge lösningarna såg rätt ut.
Yngve skrev:henrikus skrev:Nja.
Den här raden stämmer inte, det saknas en faktor tan(42) i högerledet.
Du har rätt, sorry. Och då var ju lösningen rätt från början.
