4
svar
128
visningar
Nasoffan behöver inte mer hjälp
Beräkna koefficienten
Hej!
Behöver hjälp med denna uppgift:
Beräkna koefficienten för x2y3 i utvecklingen av (1+x+2y)10.
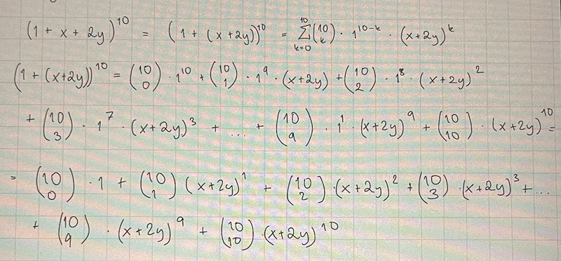
Hittills har jag jag gjort detta:

Så som jag förstår det borde koefficienten bli 10 över 5 gånger 23, men enligt facit ska man även gångra med 5 över 3. Varför?
Tack!
Du började det bra.
Men nu ska du använda samma metod på (x+2y)k
Vi behöver koefficienten där l=3 och k-l=2 (dvs k=5).
Och det är
Summationsindex k ska väl gå från 0 till 10 ?
-- slår det mig plötsligt.
Oj.
Arktos har rätt: och !
Nu förstod jag äntligen, tack! Stirrade mig blind ett tag på alla uttrycken, men när jag delade upp uttrycken i två delar var det så självklart!