Beräkna summa med hjälp av binomialsatsen för p^2, 28 över p
Hej!
Jag skulle behöva hjälp att beräkna summan
Jag vill utnyttja binomialsatsen, men måste justera lite utifrån en annan uppgift som jag räknade och fick hjälp med här på pluggakuten tidigare.
Där det nu står hade jag i en tidigare uppgift
Ok, hur ska jag nu gå tillväga om jag vill använda denna metod:
Börja med "halva binomialsatsen"
och sedan derivera båda leden två gånger.
Jag antar att VL inte ska vara nu när jag har i stället för direkt efter summatecknet?
Hur ska jag göra?
Jag ser att du redan hittat den här tråden:
https://www.pluggakuten.se/trad/berakna-summa-7/
Vi kan, som du verkar ha förstått, använda en liknande metod här. Börja som i den andra tråden med
och derivera en gång m.a.p. :
Nu vill vi inte derivera en gång till direkt eftersom vi då får istället för bara . Men kolla vad som händer om vi först multiplicerar båda led med :
Vad händer nu om du deriverar nu?
I ärlighetens namn visste jag själv inte hur man skall lösa detta. Därför besökte jag tråden du pratade om. I det länkade inlägget går kalaskull igenom hur man omvandlar p2 till en form som gör att man kan utnyttja binomialsatsen(efter att ha delat upp (p2-p) i två bitar med p2 och p). Om du förstår det själv(jag gör det inte) så borde väl uppgiften gå att lösa.
Observera att Smutsmunnens mycket eleganta lösning med dubbelräkning i den andra tråden även går att anpassa till denna uppgift.
Summan kan sägas vara antalet sätt att välja ut en styrelse på personer bland 25 och därefter utse en ordförande och en sekreterare, men till skillnad från Smutsmunnen låter vi en och samma person kunna ha båda uppgifter samtidigt (därav val av sekreterare och ordförande).
Vi kan räkna ut samma antal sätt genom att först välja sekreterare och ordförande och sedan välja vilka av de övriga att inkludera i styrelsen. Är ordförande och sekreterare olika personer finns det sätt att välja ut en styrelse och är det samma person på båda poster finns det sätt att välja ut en styrelse. Det följer alltså att summan är lika med
.
Detta är samma svar som man får med deriveringsmetoden.
fick jag när jag deriverade på nytt efter att ha multiplicerat med x.
När p=0 blir summan noll, så jag kan tänka att summan är densamma om jag skriver p=1 under summatecknet.
Men om jag nu sätter in x=1 och n=28 så blir det inte rätt. Det är fortfarande något steg som fattas. Vad?
Kanelbullen skrev:fick jag när jag deriverade på nytt efter att ha multiplicerat med x.
När p=0 blir summan noll, så jag kan tänka att summan är densamma om jag skriver p=1 under summatecknet.
Men om jag nu sätter in x=1 och n=28 så blir det inte rätt. Det är fortfarande något steg som fattas. Vad?
Du har deriverat vänsterledet fel. Du måste ju använda produktregeln eftersom både och beror av .
Kanelbullen skrev:fick jag när jag deriverade på nytt efter att ha multiplicerat med x.
När p=0 blir summan noll, så jag kan tänka att summan är densamma om jag skriver p=1 under summatecknet.
Men om jag nu sätter in x=1 och n=28 så blir det inte rätt. Det är fortfarande något steg som fattas. Vad?
Men också: mind the summationsindex!
Kommer du verkligen få en term med x^(-1)?
Hej!
Tack så mycket för era svar.
AlvinB, jag kom på att jag deriverat fel när jag var ute och gick. Tack även för den kombinatoriska lösningen som du förklarade så bra.
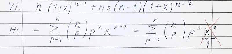
Enligt produktregeln ska VL deriveras som följer:
Sätter jag in x=1, n=28 så får jag nu det rätta svaret.
Smutsmunnen, du har rätt i att jag inte får någon term med i HL när p=1, för då blir ju exponenten 0 och värdet är därmed 1. Är det så du menar? Hur kan man få bort x-termen för alla andra p? Jag har väl inte deriverat fel i HL också?

Jag har deriverat HL rätt. Jag inser nu vad Smutsmunnen menade med att titta på indexeringen.
Eftersom vi inte har p=0, utan endast p=1 och upp till och med 28, så kommer vi aldrig få det fallet att x är upphöjt till något negativt. Antingen är x upphöjt till 0 och då är värdet 1, eller så är x upphöjt till något positivt. Eftersom x=1, så kommer värdet att vara 1 för alla p. Därför ”försvinner” den delen ax termen som består av x.
Smutsmunnen skrev:Kanelbullen skrev:fick jag när jag deriverade på nytt efter att ha multiplicerat med x.
När p=0 blir summan noll, så jag kan tänka att summan är densamma om jag skriver p=1 under summatecknet.
Men om jag nu sätter in x=1 och n=28 så blir det inte rätt. Det är fortfarande något steg som fattas. Vad?
Men också: mind the summationsindex!
Kommer du verkligen få en term med x^(-1)?
Egentligen är det ju inte fel att skriva så, eftersom du har faktorn framför i det fallet vilket gör att hela termen blir noll. :-)