Beräkna volym
Hey, har lite svårt med denna uppgift.

Jag räknade volym för glaset till vänster genom att pi * r^2*h=pi*3,5^2*8=
Jag vet inte riktigt hur jag ska räkna volymen för den andra glaset.
Ansätt att origo befinner sig i glasets botten, där pelarens topp mäter själva bägaren.
Kan du då med hjälp av siffrorna i bilden räkna ut värdena på a, b och c?
Efter att du har gjort det så får man volymen genom att rotera grafen runt y-axeln. Vet du hur man gör detta?
Inte riktigt. Jag har börjar rita x och y axeln för att underlätta för mig.
jag har dock svårt att bestämma a,b och c? Hur ska man börja?
jag tänker mig att då x = 0 blir y=C.
blir inte C=8
Med det origot borde väl c bli -1?
Jag hänger inte riktigt med. Varför blir det -1?
C värdet får man då x är 0, alltså när kurvan y= ax^2 +bx +c skär y axeln.
Jag håller med, och du försöker beskriva den rundade nederdelen av glaset som är i kontakt med pelaren, ej beskriva cylindern. Så jag förstår inte var du får 8 ifrån.
Det som kommer till är 'kupan' längst ner på glaset. Cylindern är lika stor i båda fallen.
Jag skulle förslå att du gör som Bedinsis skriver, sätter lägsta punkten i origo.

Då kommer 'kupan' att se ut så här:

Det blir en snällare funktion. Hur kommer den att se ut? Vad blir a, b och c i detta fall?
När du lägger till 'kupan', vad blir volymen i detta fall?
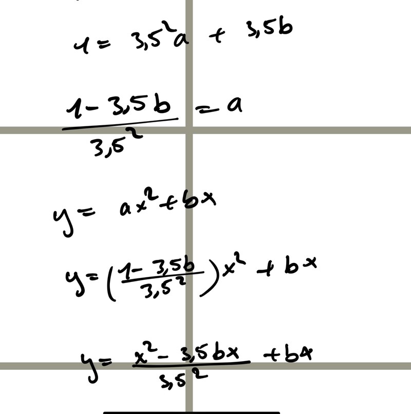
om vi säger att funktionen går genom origo blir c=0.
Vi vet att x=3,5 då y = 1. Om vi sätter det in i funktionen kommer vi kunna uttrycka a i b och efter det kan vi sätta a i funktion y=ax^2 +bx. Stämmer den delen?
Jag tänkte att man kan integrera funktionen för att räkna volymen. Jag för mig att det blir en rotation i y-axeln och då ska man uttrycka x i y.
Eller använda skalmetoden.