Päivi skrev :
Hej Päivi.
Du har svarat rätt på a-uppgiften. Det betyder att sambandet kan skrivas
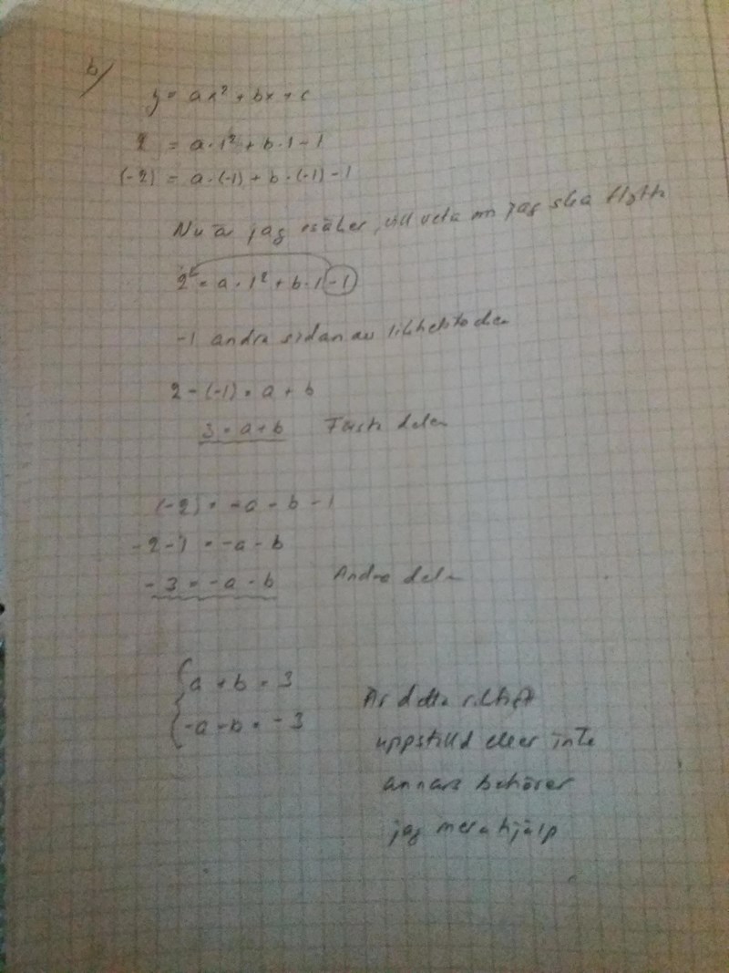
På b-uppgiften vet du att punkterna (1; 2) och (-1, -2) ligger på kurvan. Det betyder att
- punkten x = 1, y = 2 ska uppfylla sambandet
- punkten x = -1, y = -2 ska uppfylla sambandet
Det kan du använda för att sätta upp ett ekvationssystem med två ekvationer.
Jaha okej? Någon kommentar kan du väl skriva.
Du har i alla fall gjort ett litet fel på första. Du skulle ta reda på och det gör du genom att sätta in . När du gjort det så får du som redan skrivit . Då ser vi att . Du bara satte in .
När du gjort a) så kan du göra b. Du vet att , men du verkar av någon anledning sätta in där, du ska sätta in och ska få att funktionens värde ska vara . Sätt sedan in och så ska funktionens värde vara . Då har du ett ekvationssystem i a,b-termer och kan lösa.
Hej Yngve!
Jag misstänkte för det.. Tänk att man inte vågar säga något i förväg.
Päivi skrev :
Nej det är inte rätt.
Om du sätter in x = 1 och y = 2 i sambandet får du att
Addera nu 1 på bägge sidor:
Förenkla:
Om du sedan sätter in x = -1 och y = -2 i sambandet får du att
Addera nu 1 på bägge sidor:
Förenkla:
Ditt ekvationssystem blir alltså
Jag har markerat de fel du gjorde i uträkningen.
- Du glömde exponenten (blåmarkerad). Det leder till att du får fel tecken på a-termen (grönmarkerat).
- Du subtraherar 1 istället för att addera 1 (rödmarkerat). Ett tips här är att dun inte använder tänket "flytta över", för det blir så lätt fel då. Det är mycket bättre att addera 1 till båda sidor som jag visade i mitt tidigare svar.

Då får vi se, jag ska lösa ut det här, Yngve.
Päivi skrev :Då får vi se, jag ska lösa ut det här, Yngve.
Kolla, dubbelkolla och trippelkolla dina uträkningar innan du trycker iväg dina svar Päivi. Det här är ju bara onödiga slarvfel alltihop.
Päivi skrev :
Ja nu ser det bra ut Päivi.
Och du vet väl hur du ska kontrollera ditt svar?
Ja, Yngve.
Tack för hjälpen Yngve och jag får inte glömma bort den andra också som också har skrivit i tråden.
Jag tackar för detta verkligen.




