2
svar
348
visningar
destiny99 behöver inte mer hjälp
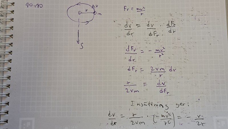
Bestäm derivatan av partikelns fart map radien


Rätt svar är dv/dr=-v/r. Men jag har en faktor 1/2 framför uttrycket. Vad gör jag för fel?
Du kan lösa det genom "bevarande av rörelsemängdsmoment."
då får man direkt dv/dr = -v/r
itsLukas skrev:Du kan lösa det genom "bevarande av rörelsemängdsmoment."
då får man direkt dv/dr = -v/r
vad menas med "bevarande av rörelsemängdsmoment"?