5
svar
125
visningar
Nichrome behöver inte mer hjälp
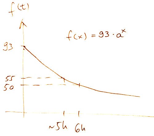
Bestäm hur lång tid efter att Johan ställt ut termosen som kaffet är drickbart

när jag skrev funktionen och försökte lösa ut a blev det fel för att förändringsfaktorn visade en ökning istället för minskning
Om man tar din formel, blir f(0) = 92 i stället för 93.
Temperaturen ska gå mot 0. Gör din funktion det?

Din version kan också kallas en exponentiell kylning, men de kan ha menat något liknande den nedan, eftersom fysik dikterar den här versionen.

Nichrome skrev:
när jag skrev funktionen och försökte lösa ut a blev det fel för att förändringsfaktorn visade en ökning istället för minskning
Funktionen du har skrivit är inte en exponentialfunktion. En exponentialfunktion kan alltid skrivas som y(x) = kax där k och a är konstanter.