3
svar
94
visningar
Totie behöver inte mer hjälp
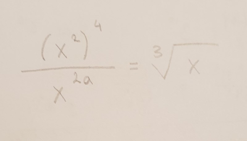
Bestäm talet a

Jag ska bestäma a så att sambandet stämmer, men ser verkligen ingen matematisk lösning.
Jag tänker att a kan eventuellt vara 2.5. Då (x^2)^4 är x^8 och 8 subbtraherat med 3 på andra sidan är 5, vilket 2×2.5 är.
Rätta mig om jag är helt fel ute och hur ska lösningen se "matematisk" ut?
Hej!
Det du vill göra är att se till så att exponenterna av x är likadana på bägge sidor, samt notera att:
Kan du göra något därifrån?
Nej, utnyttja istället att basen är lika på båda sidor. Det finns en tråd om samma uppgift här
Tackar:)