Bestäm utan räknare
Hej!
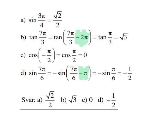
Jag har fått i uppgift att bestämma dessa 4 utan räknare:

Men jag tycker att det här med att leta upp lämpliga samband är i topp det svåraste i denna kurs... Jag har speciellt svårt med uppgift b) och d).Kan någon snäll förklara vilka samband som använts i uppgift b) & d)? Mvh
Om du undrar över det som du har markerat så har man i b) utnyttjat att tangens har perioden 2. Det betyder att den upprepar sig och hamnar på samma värde efter 2. I d) har de utnyttjat att sinus är en udda funktion (d.v.s. ) och att den har perioden 2, vilket betyder att när du drar ifrån en halv period så hamnar du på samma värde men med omvänt tecken. Därmed inte sagt att du behöver göra precis likadant som de har gjort.
Det som jag hade tyckt var svårast med denna uppgift är att veta att t.ex. och . Antingen kan man plugga in värden av trig-funktionerna för "vanliga" vinklar eller kan man ha ett par "vanliga" trianglar i huvudet, typ en halv kvadrat och en hel/halv liksidig triangel. Och så ska man så klart alltid ha enhetscirkeln i huvudet.
Jag håller med. Det finns många trigonometiska samband som man kan använda som är jobbiga att ha samtidigt i huvudet. På vissa prov får man till och med ha en formelsamling.
I de här fallen på b och d så har man vinklar som är
. Det är vinklar som är ganska stora. Den första på b är exempelvis större än ett helt varv(2pi) och den andra på uppgift d är större än ett halvt varv(pi). Dessa kan vara svåra att veta sinus- och cosinusvärdena för. Man vill därför "få ner dem" till mindre vinklar.
Då kan man använda sig av exempelvis perioder som Peter skriver. Både cosinus och sinus har perioden , att värdena återkommer efter ett helt varv. Detta betyder att även tangens som består av sinus och cosinus har perioden 2.Har man en vinkel som är större än 2så kan man dra bort detta från den och då få samma tangens-/sinus-/cosinusvärde.
Det de använder sig av i d är att om man drar bort ett halvt varv så byter sinusvärdet tecken. För att övertyga sig om detta kan det vara nyttigt att ta en titt på enhetscirkeln.
Jag håller inte med. Tangens har perioden: .
Detta eftersom:
tomast80 skrev:Jag håller inte med. Tangens har perioden: .
Detta eftersom:
Jag vet inte hur begreppet period är definierat. Däremot om den återkommer efter ett varv så återkommer den även efter två varv. Däremot är det kanske inte riktigt att säga att den har perioden 2pi utan snarare att man drar bort två perioder.