Bestäm värde på gränsvärde
Hej! Jag har fått en enkel E uppgift på gränsvärde, där den vill att jag ska bestämma ett troligt värde på gränsvärdet, genom att beräkna uttryckets värde för mindre och mindre värden på x.
Här är den:
Hur gör jag? Jag tog 0, men det gav mig fel svar...
Saknas det något i uttrycket? Jag ser:

Kan du ta en bild på uttrycket och lägga upp den? :)
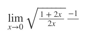
Skrev fel! Visste inte riktigt hur jag skulle göra, förlåt..!
Här är den korrekta!
Det finns flera sätt att angripa detta, men om du får använda grafräknare så kan du göra så här:
Skriv in grafen med parenteser om både täljare och nämnare.
Zooma in på grafen.
Sedan kan du skriva in olika värden med hjälp av "2nd" "CALC" om det finns på din räknare.
Börja med 0.1 och minska undan för undan 0.01; 0.001; 0.0001 osv.
OBS! att du får inget värde om du sätter in x=0 eftersom division med 0 inte är definierat och då får du inget svar på y.
Ett annat sätt att ta reda på värdet är att multiplicera täljare och nämnare med konjugatet till täljaren ), förkorta och sätta in x=0, men jag tror inte det är tanken att använda det i matte 3?
naturar3 skrev:... genom att beräkna uttryckets värde för mindre och mindre värden på x.
Du ska alltså beräkna uttryckets värde för i tur och ordning t.ex. x = 0,01; x = 0,001; x = 0,0001 o s.v.
Du ska se om värdet verkar stabilisera sig på någon nivå.
ConnyN skrev:...
Ett annat sätt att ta reda på värdet är att multiplicera täljare och nämnare med konjugatet till täljaren ), förkorta och sätta in x=0, men jag tror inte det är tanken att använda det i matte 3?
Jo, det går man igenom i Ma3, i alla fall i vissa läroböcker. Man lär sig gränsvärden för att kunna komma fram till derivator.
Tack så hemskt mycket med all hjälp! Uppskattas! Löste uppgiften!