2
svar
139
visningar
mansaren behöver inte mer hjälp
Bestämma a1 i en geometrisk talföljd
Pluggar till kursprovet i matte 5 nu, och jag gick tillbaka och kollade på ett gammalt prov och fastnade på följande uppgift:
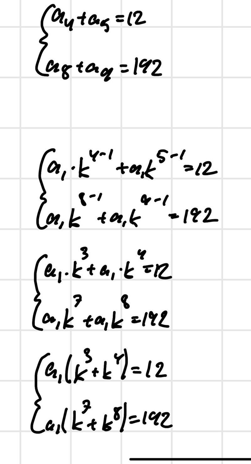
”I den geometriska talföljden a1, a2, a3, … gäller att a4+a5=12 och att a8+a9=192. Bestäm a1.”
Jag har kommit så här långt, men vet inte hur jag ska fortsätta.. har ni några tips?
Hej och välkommen på Pluggakuten!
k3+k4 = k3*(1+k)
k7+k8 = k7*(1+k)
Hjälper det?
Tackar, ja detta hjälpte mig mycket! Flyttade över k-termerna till andra sidan så jag fick a1 ensamt, och satte båda uttrycken lika med varandra. Sedan var det enkelt att bestämma k, för att till sist stoppa in k i ett av uttrycken och få fram a1 :)