2
svar
209
visningar
lund behöver inte mer hjälp
Beta-fördelning
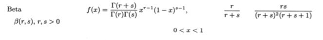
Varför gäller det att fördelningen är ungefär Beta(2,n)-fördelad? Jag har följande formelblad där det står:

Där f(x) är täthetsfunktionen, nästa är väntevärdet och det sista variansen. Men ser inte sambandet mellan detta och ?
Om du bara byter ut r=2 och s=n, får du
Och gammafunktionens definition för heltal är
Så blir
Macilaci skrev:Om du bara byter ut r=2 och s=n, får du
Och gammafunktionens definition för heltal är
Så blir
Tusen tack, nu förstår jag! Och bra förklarat! :)