13 svar
195 visningar
offan123 behöver inte mer hjälp
offan123 3072
Postad: 26 apr 2023 19:39 Redigerad: 26 apr 2023 19:41

Betingad sannolikhet

Jag är lite osäker på b). Det är givet att efter 4 år så är sannolikheten att den håller i ytterligare 10 år (dvs totalt 14 år).

"Efter 4 år" är det inkluderat 4 år eller bara strikt större än 4 år?

"I ytterligare 10 år" (14 år), är det inkl. 14 år eller bara strikt större?

Finns det nåt bra knep på att avgöra det?

Hondel 1548
Postad: 26 apr 2023 19:43 Redigerad: 26 apr 2023 19:44

Tiden är exponentialfördelad, vilket betyder att det är en kontinuerlig variabel. För kontinuerliga variabler spelar det ingen roll om du har > eller \geq, eftersom sannolikheten att en kontinuerlig variabel antar exakt ett visst värde är 0. 

offan123 3072
Postad: 26 apr 2023 19:45 Redigerad: 26 apr 2023 19:45

Juste, det stämmer. Men man kan inte veta om det är "strikt större än" eller "större och lika med" om man nu skulle vilja kolla det även om det inte behövs?

Hondel 1548
Postad: 26 apr 2023 19:46

Jag tycker att det är lite otydligt från uppgiften, men som sagt, det spelar ingen roll här.

offan123 3072
Postad: 26 apr 2023 19:48 Redigerad: 26 apr 2023 19:51

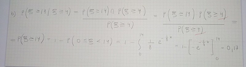
Så då borde ju det jag skrivit på bilden stämma? Det är ju snitt i min täljare så då borde jag väl bara kunna förkorta P(xi större/lika med 4) och bara ta integralen från 0 till 14 för P(xi större/lika med 14)?

Macilaci 2214
Postad: 26 apr 2023 19:49 Redigerad: 26 apr 2023 19:54

Jag tror att de syftar på egenskapen att ”exponentialfördelningen saknar minne”. 

Den betingade sannolikheten att en transistor håller i ytterligare 10 år är lika med sannolikheten att en ny transistor håller i 10 år.

offan123 3072
Postad: 26 apr 2023 19:56

Men nu när ska läsa den betingade sannolikheten blir det lite fel, kan man inte stryka så som jag gjort?

Macilaci 2214
Postad: 26 apr 2023 20:00 Redigerad: 26 apr 2023 20:02

Nej, du får inte skriva det. ξ14 och ξ4 är inte oberoende händelser, du får inte multiplicera deras sannolikheter.

P(ξ14  ξ4) = P(ξ14)

offan123 3072
Postad: 26 apr 2023 20:14

Hur blir det bara p(xi ≥ 14)? Blir det inte p(xi ≥ 4) då 14 är "inbakad" i den?

Macilaci 2214
Postad: 26 apr 2023 20:27

Tvärtom. ξ4 är inbakad i ξ14.

Någon som är äldre än 14 år är visserligen äldre än 4 år. 

offan123 3072
Postad: 26 apr 2023 20:31

Men när något är större eller lika med 14 så får den som minst vara 14 (i min värld är 4 inte med). Jag vet inte, får inte riktigt ihop det.

Macilaci 2214
Postad: 26 apr 2023 20:37

Du ska kanske rita ett Venndiagram. (Alla transistorer, transistorer äldre än 4 år, transistorer äldre än 14 år.)

offan123 3072
Postad: 26 apr 2023 21:55

Eller man kanske bara kan säga att efter 14 år så menar man att man började på år 0 och fortsatt till 14 år. Därmed ingår 4:an också?

Hondel 1548
Postad: 27 apr 2023 06:42 Redigerad: 27 apr 2023 06:43

Detta tankesätt kanske funkar:

p(xi>14, xi>4)=p(xi>4 | xi>14)p(xi >14) enligt vanlig regel för betingad sannolikhet. Och p(xi>4 | xi > 14) är ju 1, för givet att något är helt efter 14 år så är den ju garanterat hel efter 4. Så det som blir kvar är p(xi>14)

Svara
Close