Bevis med bisektris
Behöver hjälp med den uppgiften. Försökte att lösa men jag vet inte hur jag ska tänka att lösa den.
Hej!
Du har börjat rätt
Mvh
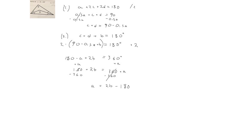
Är c+d=90-a
för att jag tänker att om2c+2d+a=180 och sedan dividera de med 2 så blir c+d+a180/2=c+d+a=90
och där efter har jag skrivit att c+d=90-a
och där efter kan vet jag inte hur jag ska gå vidare.
Horay usoco skrev:Är c+d=90-a
för att jag tänker att om2c+2d+a=180 och sedan dividera de med 2 så blir c+d+a180/2=c+d+a=90
och där efter har jag skrivit att c+d=90-a
och där efter kan vet jag inte hur jag ska gå vidare.
Nej, för att när du dividerar båda leden med 2 så måste du dela alla termer i VL med 2, även a ska divideras med 2
2c+2d+a=180 om du ska dividera bägge leden med 2 så blir det så här:
Vad är c+d lika med i förhållande till b?
Jag har försökt igen och fick att c+d=180-a.
om det är inte så, så vet jag inte hur man ska hitta det.
kan du vissa mig hur du har räknat.

Själv går jag matte 1 just nu, och jag har prov på bevis och geometri imorgon, så jag tänkte varför inte hjälpa :)